Ac1

MatHub3d-1-Ac1

Property Value
Space group (225, "'Fm-3m'")
Magnetic False
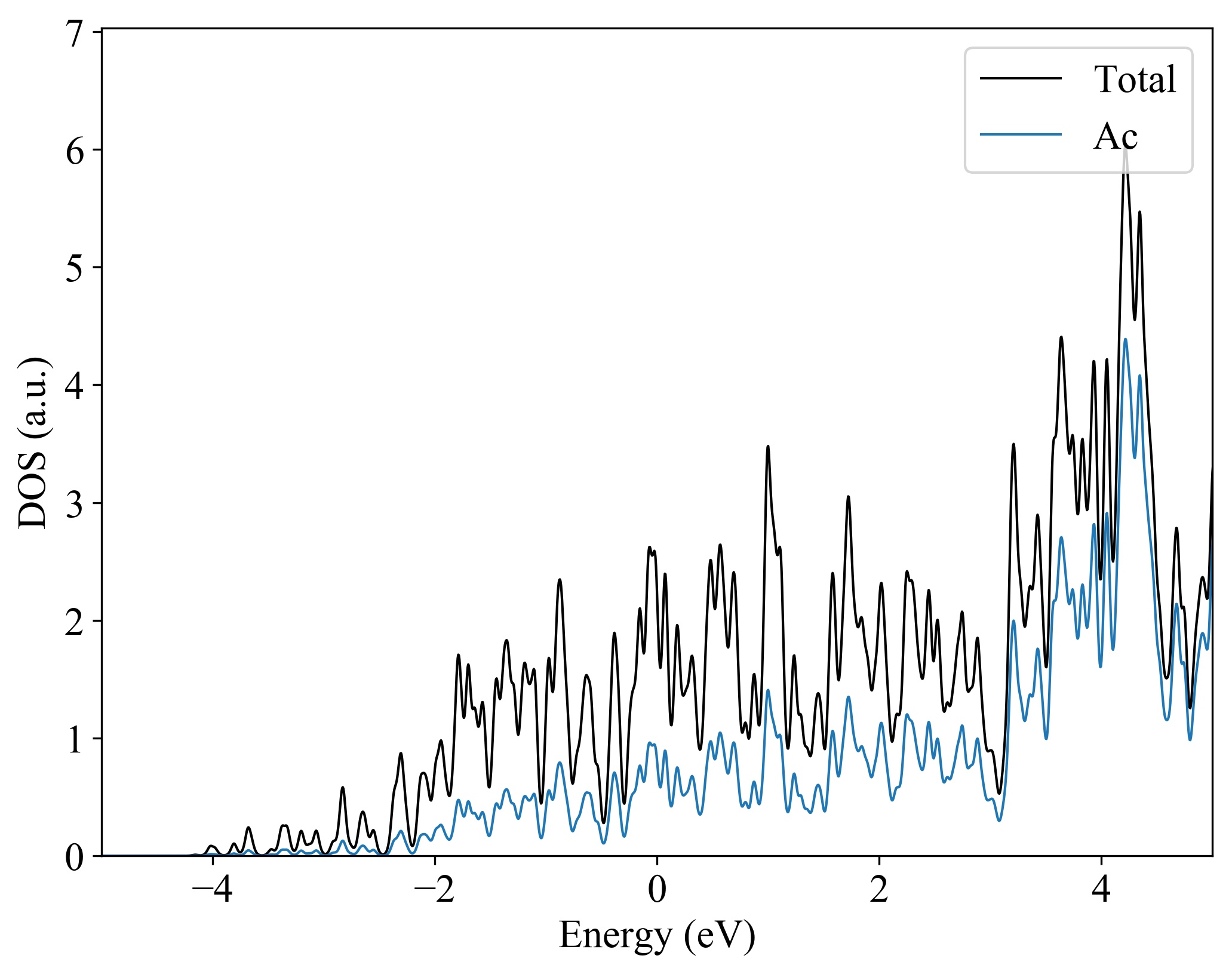
Band gap (PBE) (eV) 0
Total energy (eV) -4.048
Total energy / atom (eV) -4.048

Lattice Parameters(conventional cell, from the source)

a, b, c (Å): 5.310 5.310 5.310
α, β, γ(°): 90.0 90.0 90.0

Lattice Parameters(conventional cell, relaxed)

a, b, c (Å): 5.680 5.680 5.680
α, β, γ(°): 90.0 90.0 90.0






Ac1
  
Property Value
Band gap 0 eV
Property Value
Source icsd-43491-Ac1