Ac1Ag1Au2

MatHub3d-3-Ac1Ag1Au2

Property Value
Space group (225, "'Fm-3m'")
Magnetic False
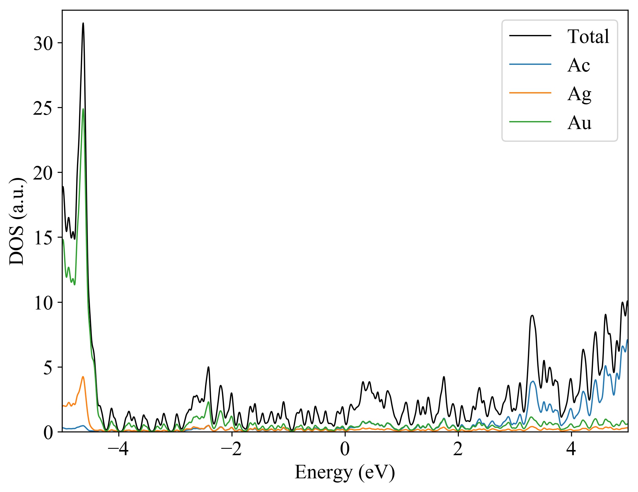
Band gap (PBE) (eV) 0
Total energy (eV) -9.642
Total energy / atom (eV) -2.411

Lattice Parameters(conventional cell, from the source)

a, b, c (Å): 7.350 7.350 7.350
α, β, γ(°): 90.0 90.0 90.0

Lattice Parameters(conventional cell, relaxed)

a, b, c (Å): 7.360 7.360 7.360
α, β, γ(°): 90.0 90.0 90.0
Ac1Ag1Au2
.
Property Value
Bulk-modulus 59.835 GPa






Ac1Ag1Au2
  
Property Value
Band gap 0 eV
Property Value
Source mp-862972-Ac1Ag1Au2