Ac1Ag2Tl1

MatHub3d-7-Ac1Ag2Tl1

Property Value
Space group (225, "'Fm-3m'")
Magnetic False
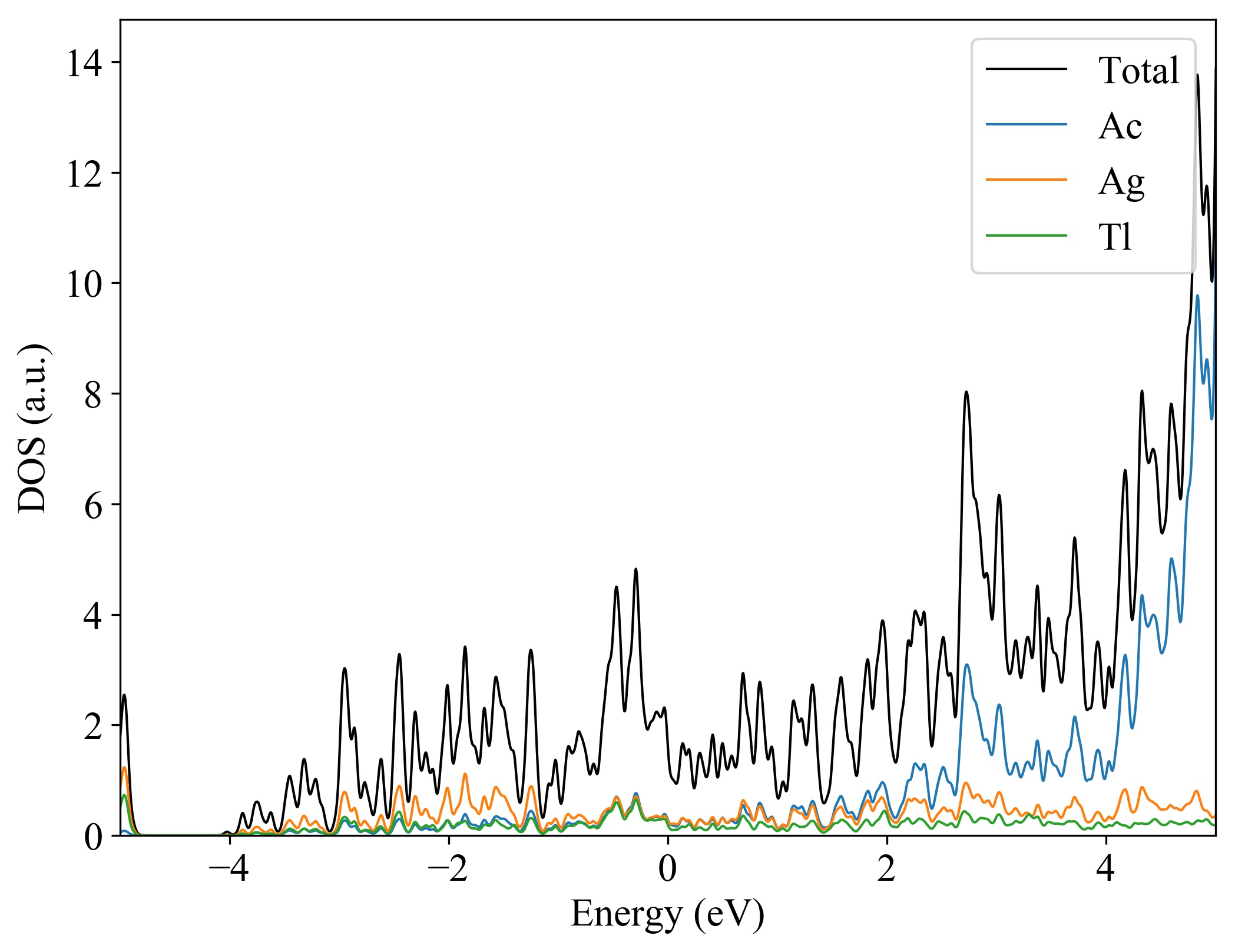
Band gap (PBE) (eV) 0
Total energy (eV) -8.903
Total energy / atom (eV) -2.226

Lattice Parameters(conventional cell, from the source)

a, b, c (Å): 7.510 7.510 7.510
α, β, γ(°): 90.0 90.0 90.0

Lattice Parameters(conventional cell, relaxed)

a, b, c (Å): 7.490 7.490 7.490
α, β, γ(°): 90.0 90.0 90.0
Ac1Ag2Tl1
.
Property Value
Bulk-modulus 46.258 GPa






Ac1Ag2Tl1
  
Property Value
Band gap 0 eV
Property Value
Source mp-865958-Ac1Ag2Tl1