Ac1Au2Bi1

MatHub3d-8-Ac1Au2Bi1

Property Value
Space group (225, "'Fm-3m'")
Magnetic False
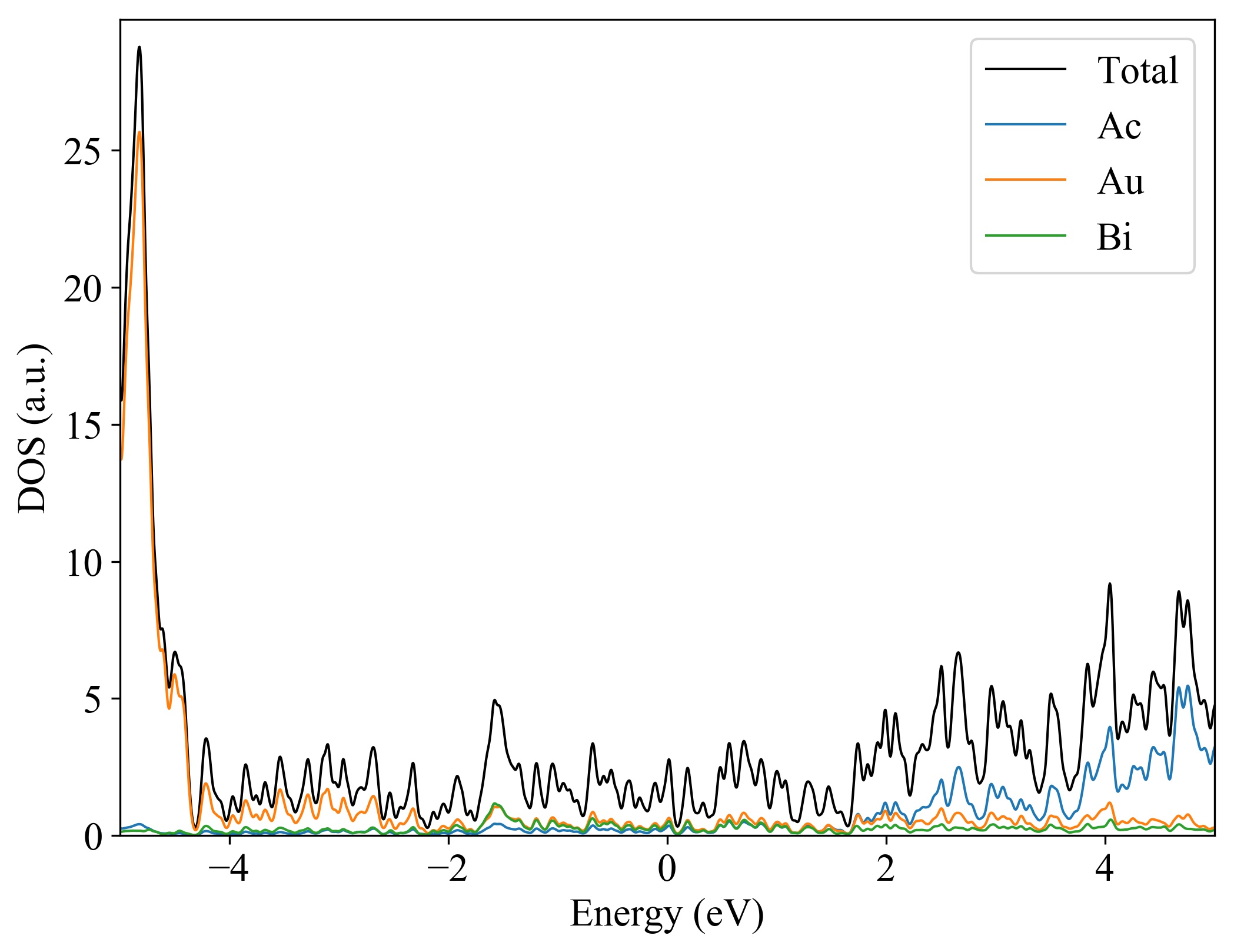
Band gap (PBE) (eV) 0
Total energy (eV) -13.053
Total energy / atom (eV) -3.263

Lattice Parameters(conventional cell, from the source)

a, b, c (Å): 7.540 7.540 7.540
α, β, γ(°): 90.0 90.0 90.0

Lattice Parameters(conventional cell, relaxed)

a, b, c (Å): 7.530 7.530 7.530
α, β, γ(°): 90.0 90.0 90.0
Ac1Au2Bi1
.
Property Value
Bulk-modulus 66.428 GPa






Ac1Au2Bi1
  
Property Value
Band gap 0 eV
Property Value
Source mp-866016-Ac1Au2Bi1