Ac1Au2Sb1

MatHub3d-13-Ac1Au2Sb1

Property Value
Space group (225, "'Fm-3m'")
Magnetic False
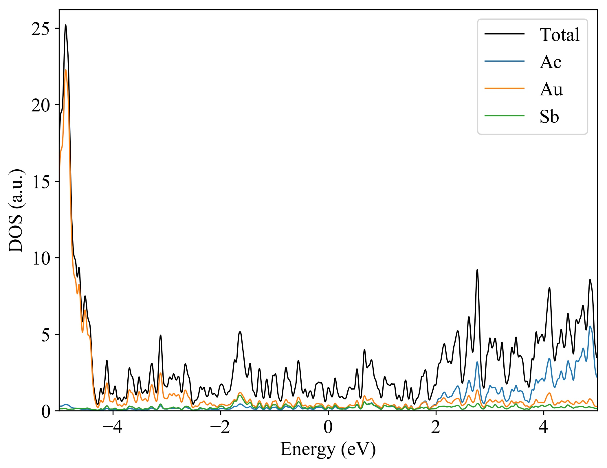
Band gap (PBE) (eV) 0
Total energy (eV) -13.359
Total energy / atom (eV) -3.340

Lattice Parameters(conventional cell, from the source)

a, b, c (Å): 7.450 7.450 7.450
α, β, γ(°): 90.0 90.0 90.0

Lattice Parameters(conventional cell, relaxed)

a, b, c (Å): 7.440 7.440 7.440
α, β, γ(°): 90.0 90.0 90.0
Ac1Au2Sb1
.
Property Value
Bulk-modulus 68.657 GPa






Ac1Au2Sb1
  
Property Value
Band gap 0 eV
Property Value
Source mp-862894-Ac1Au2Sb1