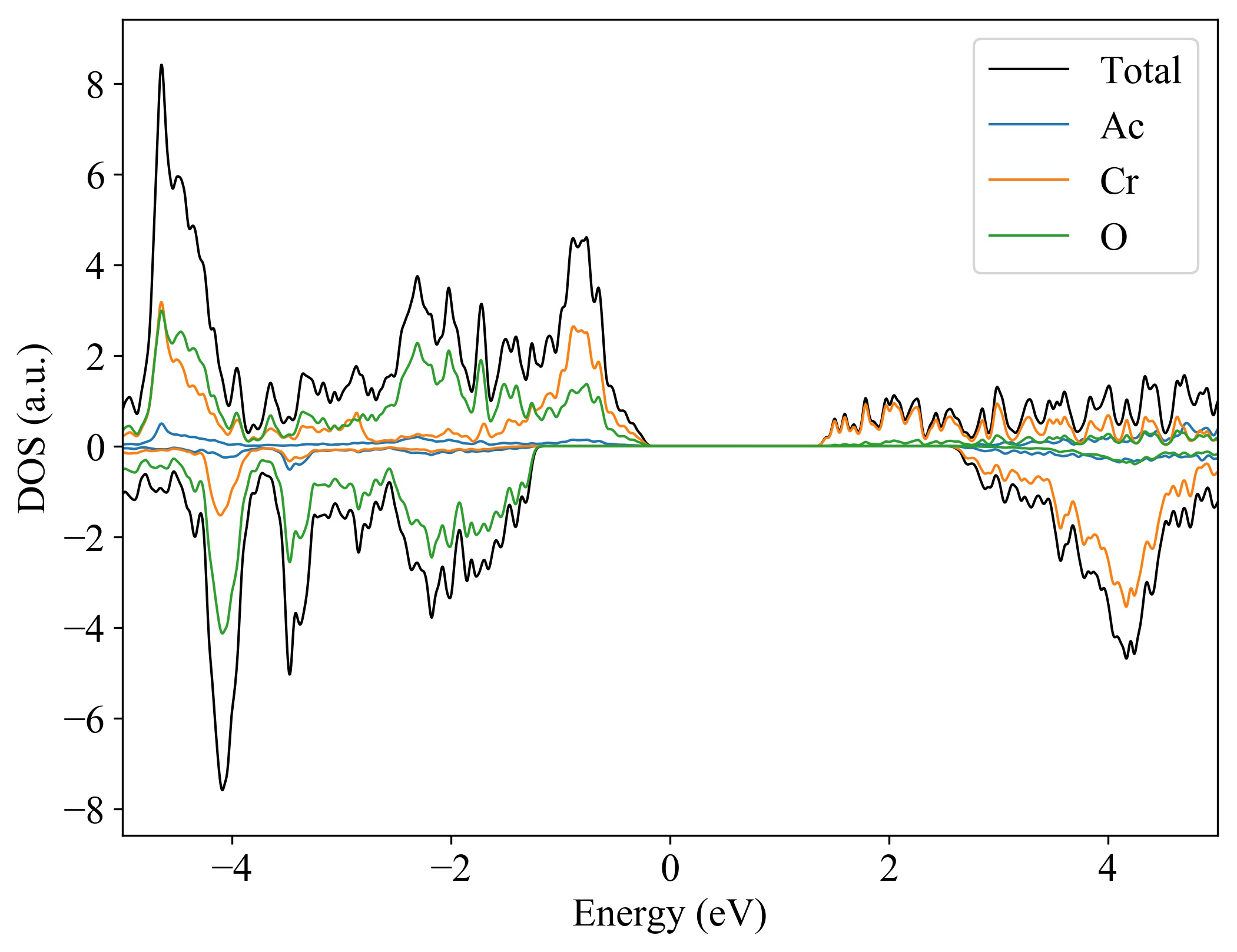
Ac1Cr1O3

MatHub3d-24-Ac1Cr1O3

Property Value
Space group (221, "'Pm-3m'")
Magnetic True
Magnetic moment (μB) 3.00
Band gap (PBE) (eV) 1.64
Total energy (eV) -40.051
Total energy / atom (eV) -8.010

Lattice Parameters(conventional cell, from the source)

a, b, c (Å): 3.990 3.990 3.990
α, β, γ(°): 90.0 90.0 90.0

Lattice Parameters(conventional cell, relaxed)

a, b, c (Å): 3.990 3.990 3.990
α, β, γ(°): 90.0 90.0 90.0

Deformation Potential

n_type (eV): -1.367
p_type (eV): -1.358
Ac1Cr1O3
.
Property Value
Bulk-modulus 172.552 GPa






Ac1Cr1O3
  
Property Value
Band gap 1.64 eV
n-type Seebeck coefficient (700K)



p-type Seebeck coefficient (700K)
n-type conductivity (700K)



p-type conductivity (700K)
n-type power factor (700K)



p-type power factor (700K)
Property Value
Source mp-866647-Ac1Cr1O3