Ac1Dy3

MatHub3d-27-Ac1Dy3

Property Value
Space group (139, "'I4/mmm'")
Magnetic True
Magnetic moment (μB) 0.04
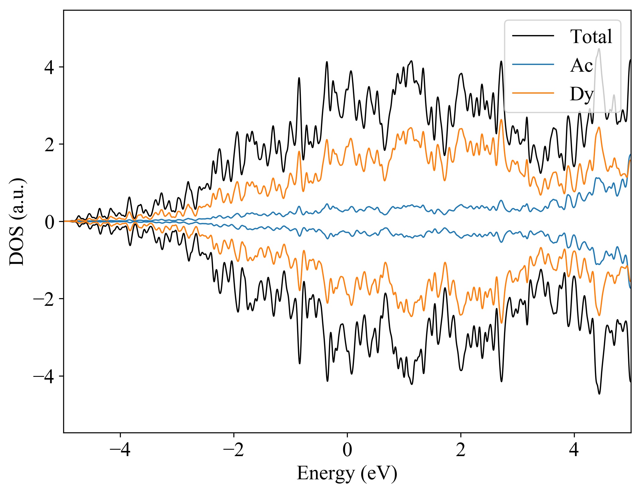
Band gap (PBE) (eV) 0
Total energy (eV) -17.434
Total energy / atom (eV) -4.359

Lattice Parameters(conventional cell, from the source)

a, b, c (Å): 5.200 5.200 10.260
α, β, γ(°): 90.0 90.0 90.0

Lattice Parameters(conventional cell, relaxed)

a, b, c (Å): 5.220 5.220 10.200
α, β, γ(°): 90.0 90.0 90.0






Ac1Dy3
  
Property Value
Band gap 0 eV
Property Value
Source mp-985301-Ac1Dy3