Ac1Fe1O3

MatHub3d-29-Ac1Fe1O3

Property Value
Space group (221, "'Pm-3m'")
Magnetic True
Magnetic moment (μB) 4.99
Band gap (PBE) (eV) 0.87
Total energy (eV) -37.045
Total energy / atom (eV) -7.409

Lattice Parameters(conventional cell, from the source)

a, b, c (Å): 4.010 4.010 4.010
α, β, γ(°): 90.0 90.0 90.0

Lattice Parameters(conventional cell, relaxed)

a, b, c (Å): 4.000 4.000 4.000
α, β, γ(°): 90.0 90.0 90.0

Deformation Potential

n_type (eV): 3.218
p_type (eV): 0.350
Ac1Fe1O3
.
Property Value
Bulk-modulus 165.341 GPa






Ac1Fe1O3
  
Property Value
Band gap 0.87 eV
Band degeneracy(CBM) 1.00
Band degeneracy(VBM) 1.00
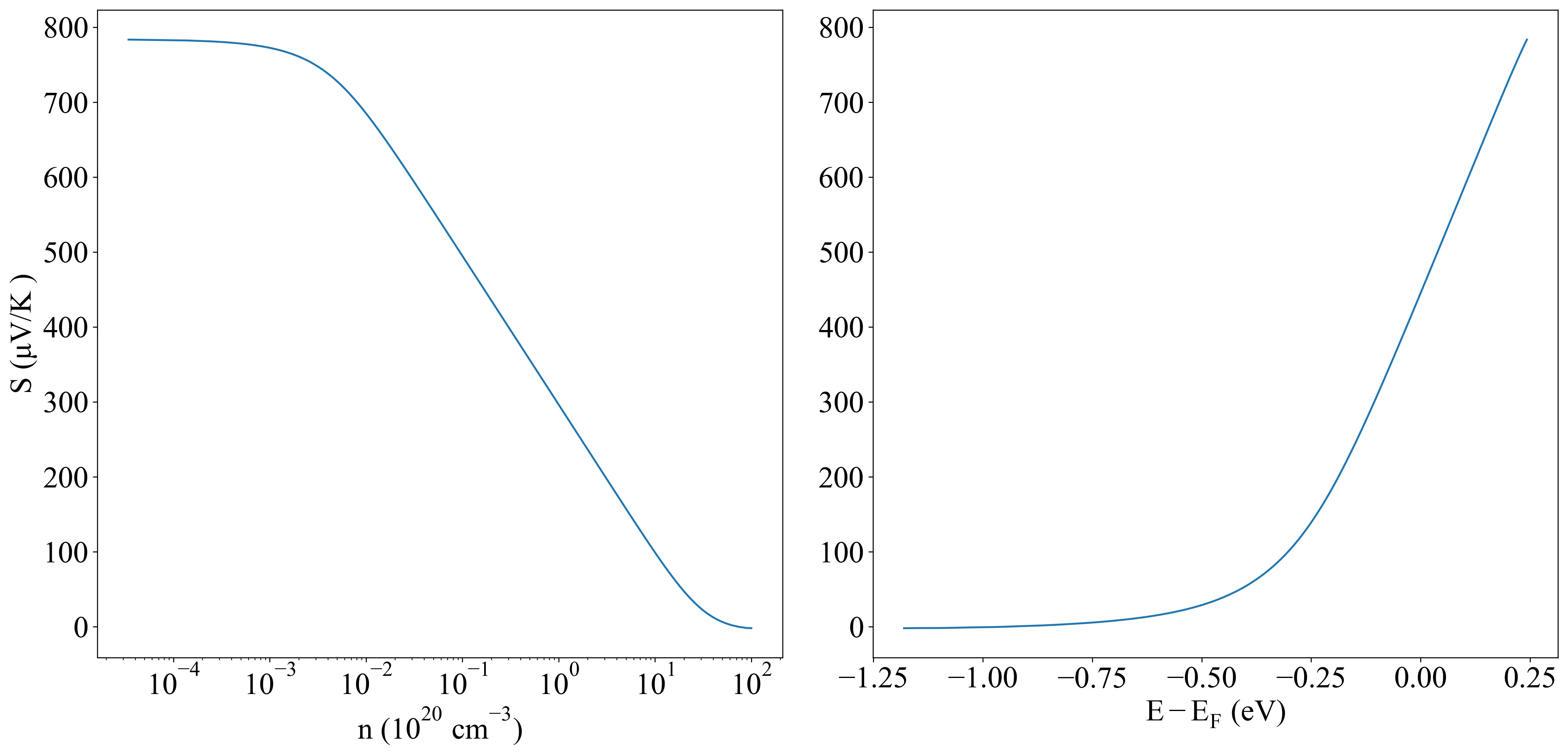
n-type Seebeck coefficient (700K)



p-type Seebeck coefficient (700K)
n-type conductivity (700K)



p-type conductivity (700K)
n-type power factor (700K)



p-type power factor (700K)
Property Value
Source mp-864241-Ac1Fe1O3