Ac1Hg2Na1

MatHub3d-36-Ac1Hg2Na1

Property Value
Space group (225, "'Fm-3m'")
Magnetic False
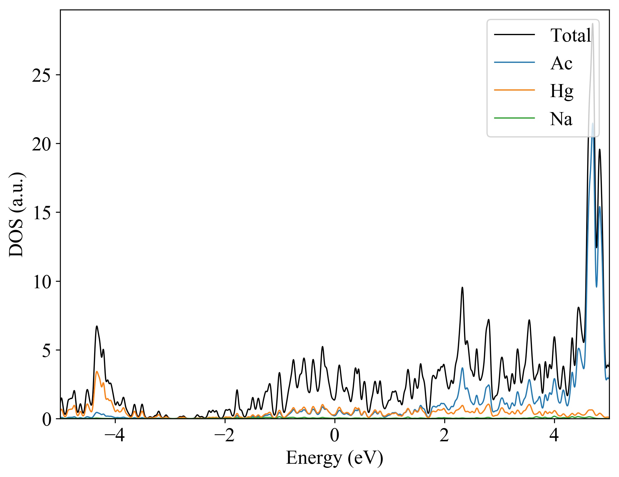
Band gap (PBE) (eV) 0
Total energy (eV) -7.329
Total energy / atom (eV) -1.832

Lattice Parameters(conventional cell, from the source)

a, b, c (Å): 7.800 7.800 7.800
α, β, γ(°): 90.0 90.0 90.0

Lattice Parameters(conventional cell, relaxed)

a, b, c (Å): 7.780 7.780 7.780
α, β, γ(°): 90.0 90.0 90.0






Ac1Hg2Na1
  
Property Value
Band gap 0 eV
Property Value
Source mp-864806-Ac1Hg2Na1