Ac1Li2Sn1

MatHub3d-47-Ac1Li2Sn1

Property Value
Space group (225, "'Fm-3m'")
Magnetic False
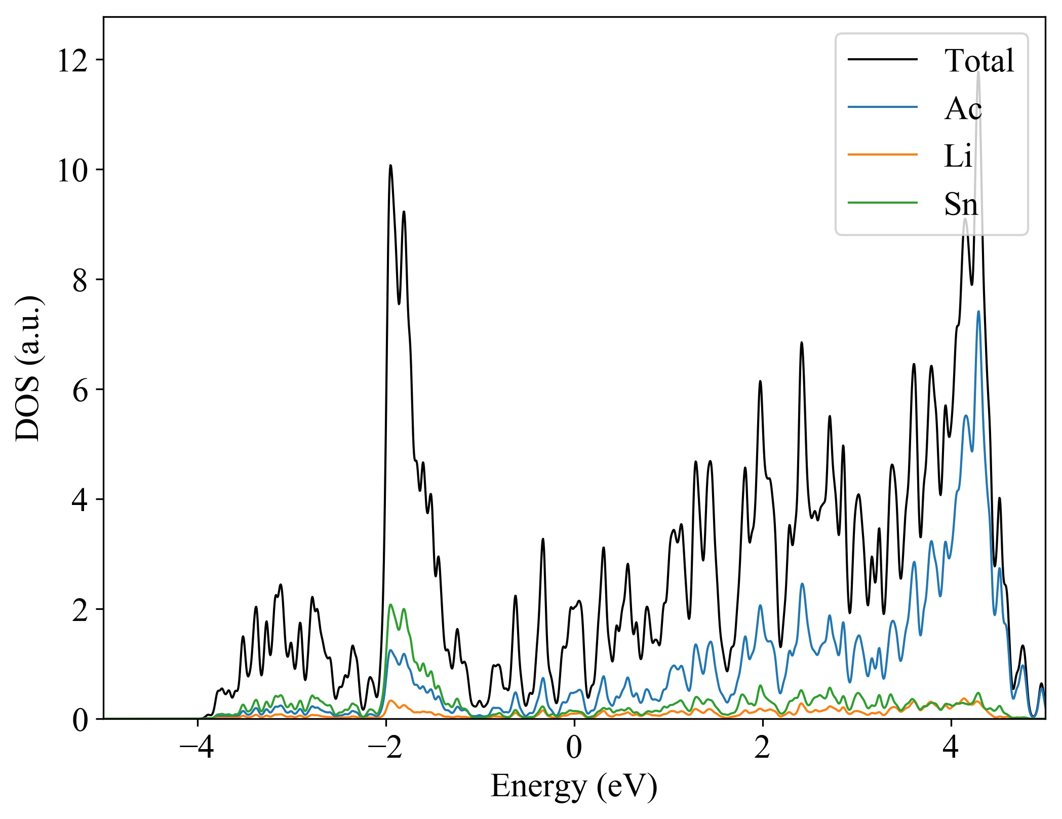
Band gap (PBE) (eV) 0
Total energy (eV) -13.292
Total energy / atom (eV) -3.323

Lattice Parameters(conventional cell, from the source)

a, b, c (Å): 7.240 7.240 7.240
α, β, γ(°): 90.0 90.0 90.0

Lattice Parameters(conventional cell, relaxed)

a, b, c (Å): 7.220 7.220 7.220
α, β, γ(°): 90.0 90.0 90.0
Ac1Li2Sn1
.
Property Value
Bulk-modulus 40.372 GPa






Ac1Li2Sn1
  
Property Value
Band gap 0 eV
Property Value
Source mp-865913-Ac1Li2Sn1