Ac1Li2Tl1

MatHub3d-48-Ac1Li2Tl1

Property Value
Space group (225, "'Fm-3m'")
Magnetic False
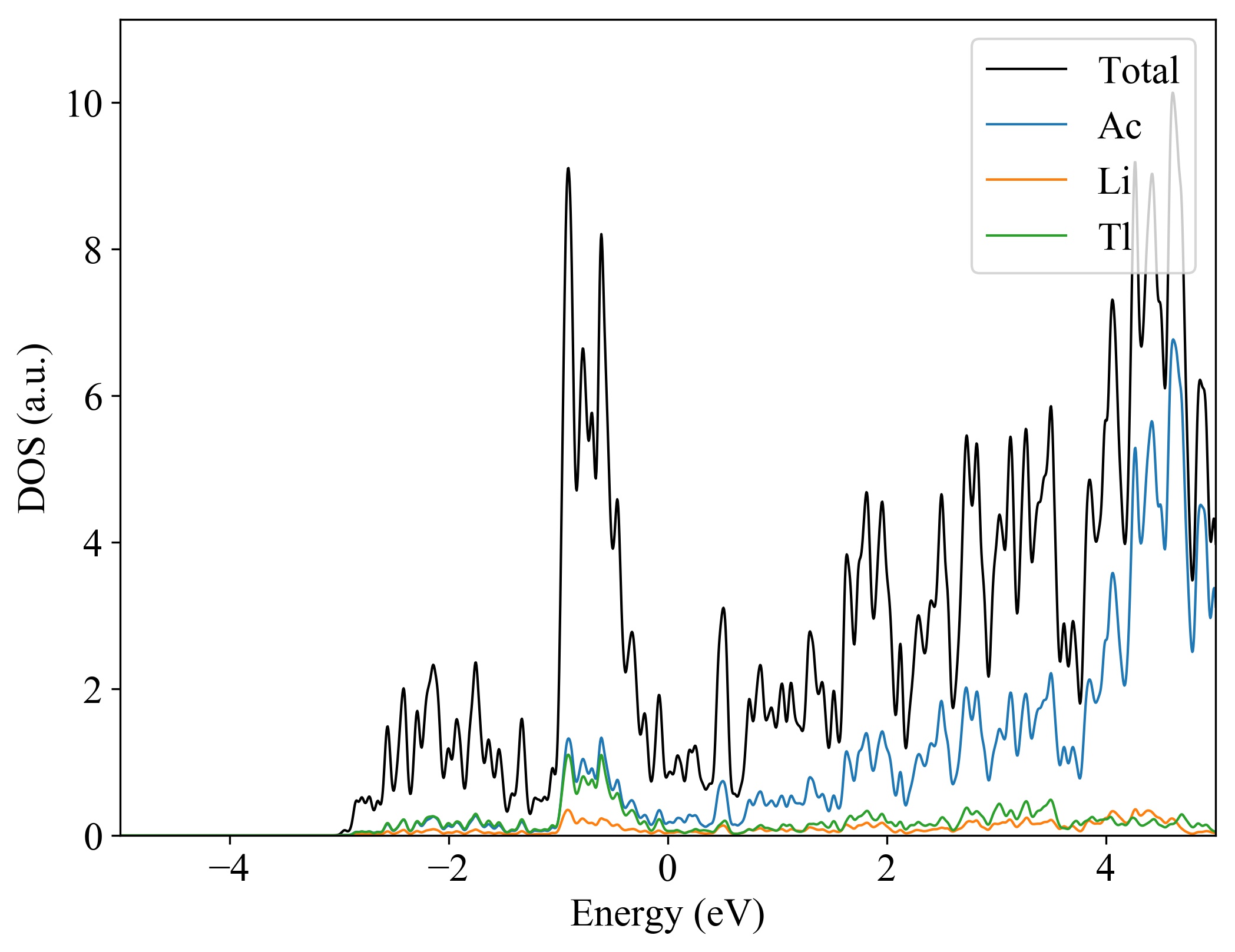
Band gap (PBE) (eV) 0
Total energy (eV) -10.931
Total energy / atom (eV) -2.733

Lattice Parameters(conventional cell, from the source)

a, b, c (Å): 7.360 7.360 7.360
α, β, γ(°): 90.0 90.0 90.0

Lattice Parameters(conventional cell, relaxed)

a, b, c (Å): 7.350 7.350 7.350
α, β, γ(°): 90.0 90.0 90.0
Ac1Li2Tl1
.
Property Value
Bulk-modulus 33.179 GPa






Ac1Li2Tl1
  
Property Value
Band gap 0 eV
Property Value
Source mp-976333-Ac1Li2Tl1