Ac1O3Ti1

MatHub3d-59-Ac1O3Ti1

Property Value
Space group (221, "'Pm-3m'")
Magnetic False
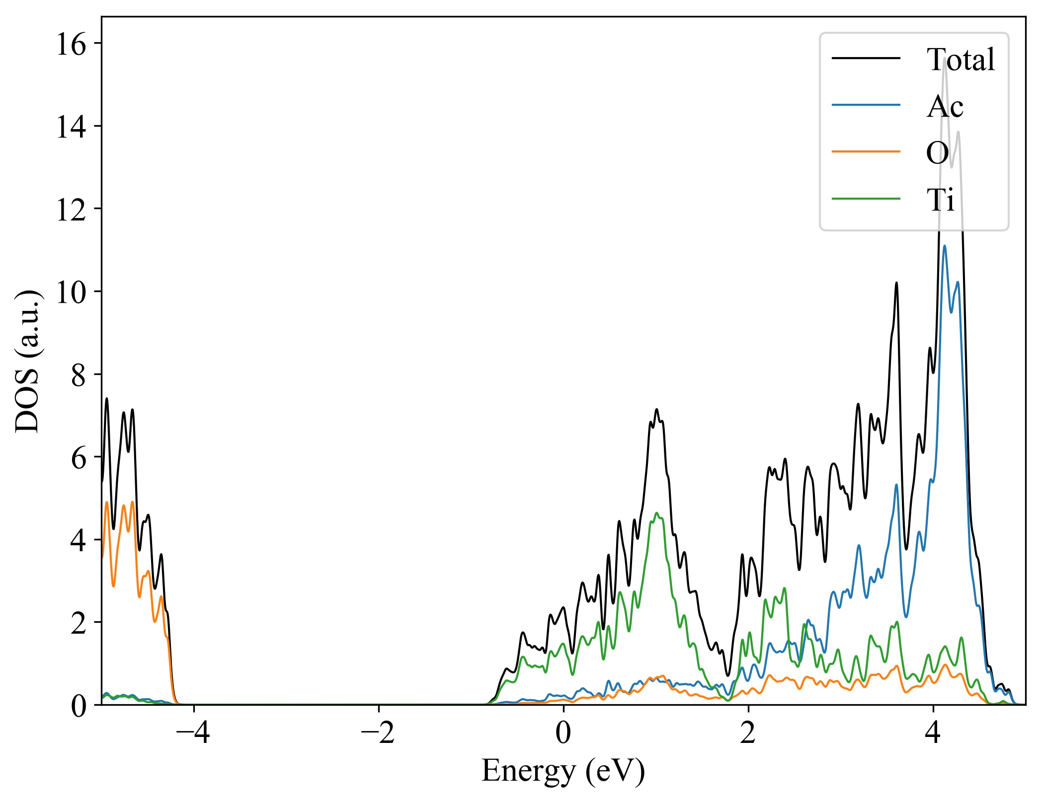
Band gap (PBE) (eV) 0
Total energy (eV) -39.438
Total energy / atom (eV) -7.888

Lattice Parameters(conventional cell, from the source)

a, b, c (Å): 4.010 4.010 4.010
α, β, γ(°): 90.0 90.0 90.0

Lattice Parameters(conventional cell, relaxed)

a, b, c (Å): 4.040 4.040 4.040
α, β, γ(°): 90.0 90.0 90.0
Ac1O3Ti1
.
Property Value
Bulk-modulus 170.532 GPa






Ac1O3Ti1
  
Property Value
Band gap 0 eV
Property Value
Source mp-865927-Ac1O3Ti1