Ac1Yb1Zn2

MatHub3d-67-Ac1Yb1Zn2

Property Value
Space group (225, "'Fm-3m'")
Magnetic False
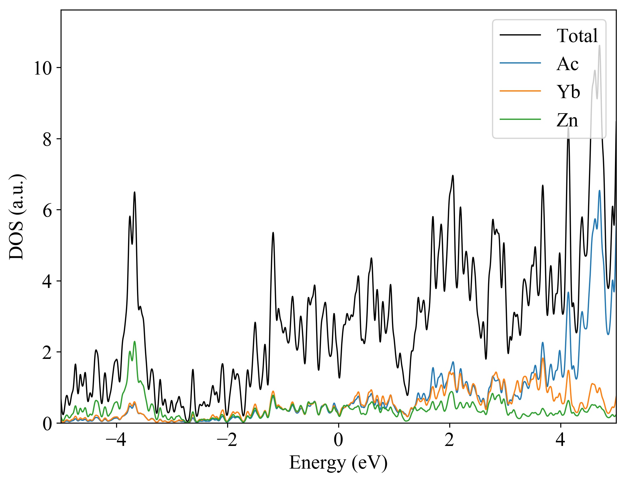
Band gap (PBE) (eV) 0
Total energy (eV) -7.222
Total energy / atom (eV) -1.806

Lattice Parameters(conventional cell, from the source)

a, b, c (Å): 7.580 7.580 7.580
α, β, γ(°): 90.0 90.0 90.0

Lattice Parameters(conventional cell, relaxed)

a, b, c (Å): 7.580 7.580 7.580
α, β, γ(°): 90.0 90.0 90.0






Ac1Yb1Zn2
  
Property Value
Band gap 0 eV
Property Value
Source mp-865953-Ac1Yb1Zn2