Ac2Cu1Sn1

MatHub3d-84-Ac2Cu1Sn1

Property Value
Space group (225, "'Fm-3m'")
Magnetic False
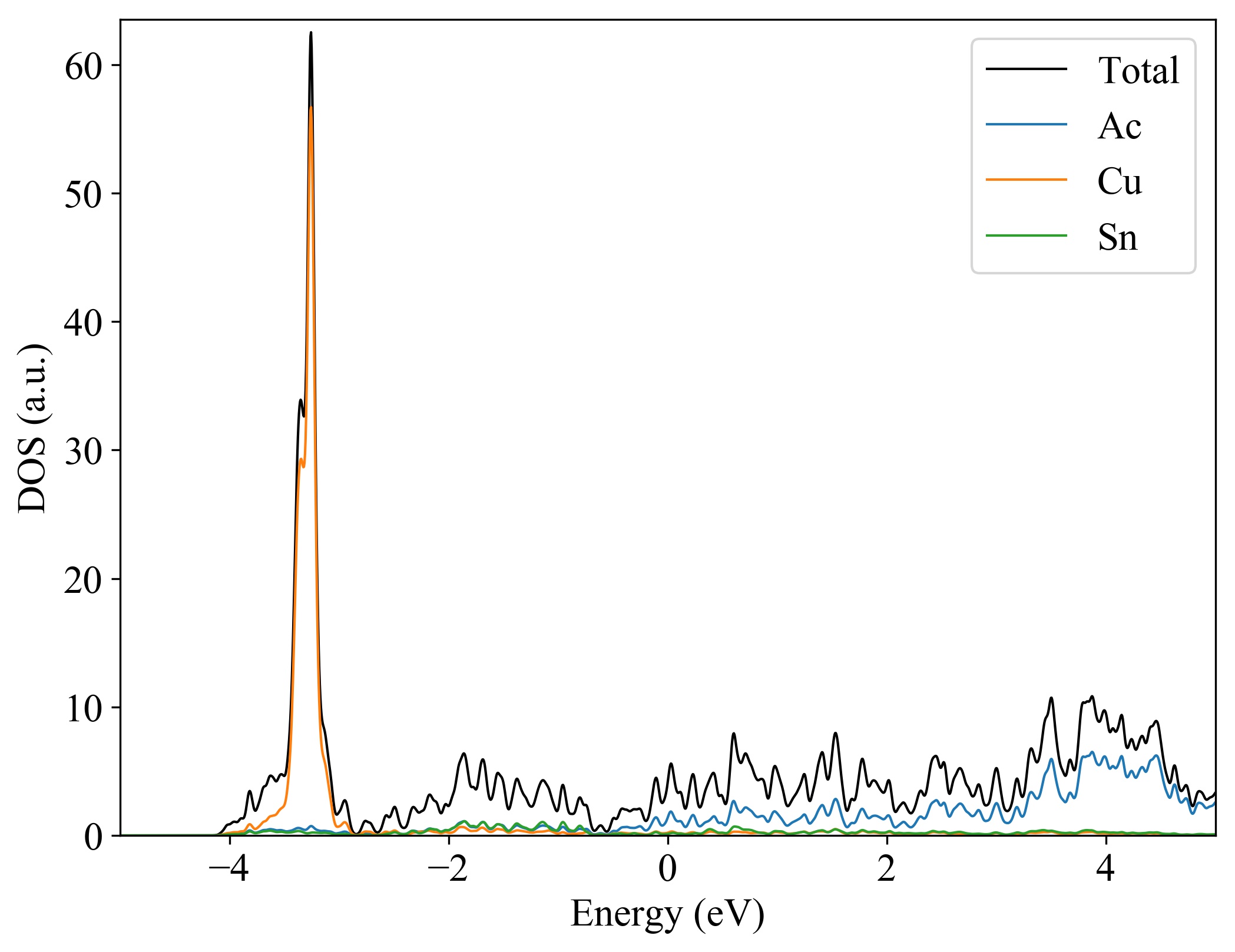
Band gap (PBE) (eV) 0
Total energy (eV) -15.734
Total energy / atom (eV) -3.933

Lattice Parameters(conventional cell, from the source)

a, b, c (Å): 7.950 7.950 7.950
α, β, γ(°): 90.0 90.0 90.0

Lattice Parameters(conventional cell, relaxed)

a, b, c (Å): 7.950 7.950 7.950
α, β, γ(°): 90.0 90.0 90.0
Ac2Cu1Sn1
.
Property Value
Bulk-modulus 45.273 GPa






Ac2Cu1Sn1
  
Property Value
Band gap 0 eV
Property Value
Source mp-865470-Ac2Cu1Sn1