Ac2Ge6

MatHub3d-93-Ac2Ge6

Property Value
Space group (194, "'P6_3/mmc'")
Magnetic False
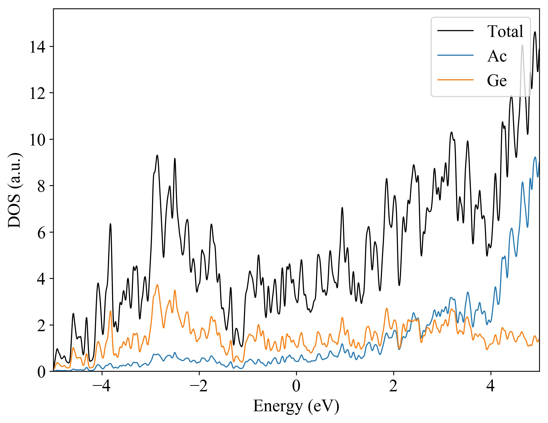
Band gap (PBE) (eV) 0
Total energy (eV) -38.713
Total energy / atom (eV) -4.839

Lattice Parameters(conventional cell, from the source)

a, b, c (Å): 6.640 6.640 4.970
α, β, γ(°): 90.0 90.0 120.0

Lattice Parameters(conventional cell, relaxed)

a, b, c (Å): 6.610 6.610 5.060
α, β, γ(°): 90.0 90.0 120.0






Ac2Ge6
  
Property Value
Band gap 0 eV
Property Value
Source mp-862665-Ac2Ge6