Ac2I6

MatHub3d-97-Ac2I6

Property Value
Space group (194, "'P6_3/mmc'")
Magnetic False
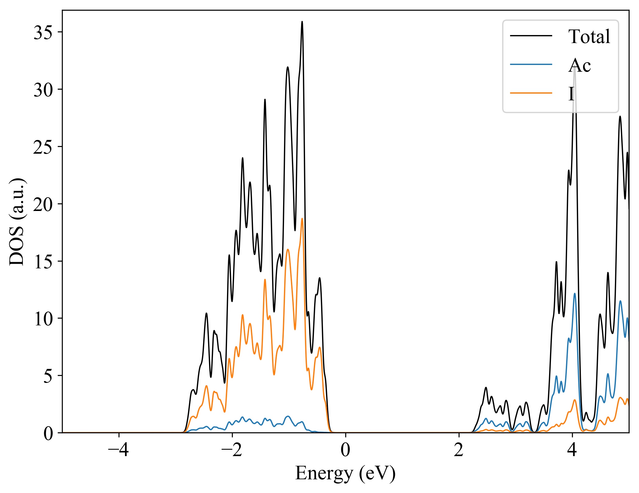
Band gap (PBE) (eV) 2.59
Total energy (eV) -29.412
Total energy / atom (eV) -3.677

Lattice Parameters(conventional cell, from the source)

a, b, c (Å): 11.600 11.600 4.390
α, β, γ(°): 90.0 90.0 120.0

Lattice Parameters(conventional cell, relaxed)

a, b, c (Å): 11.600 11.600 4.390
α, β, γ(°): 90.0 90.0 120.0

Deformation Potential

n_type (eV): 4.417
p_type (eV): 3.965
Ac2I6
.
Property Value
Bulk-modulus 18.548 GPa






Ac2I6
  
Property Value
Band gap 2.59 eV
Band degeneracy(CBM) 1.00
Band degeneracy(VBM) 2.00
n-type Seebeck coefficient (700K)



p-type Seebeck coefficient (700K)
n-type conductivity (700K)



p-type conductivity (700K)
n-type power factor (700K)



p-type power factor (700K)






Eband_VBM 3.27219
Eband_CBM -3.26844
Property Value
Source mp-861867-Ac2I6