Ac2Ir1Ni1

MatHub3d-100-Ac2Ir1Ni1

Property Value
Space group (225, "'Fm-3m'")
Magnetic False
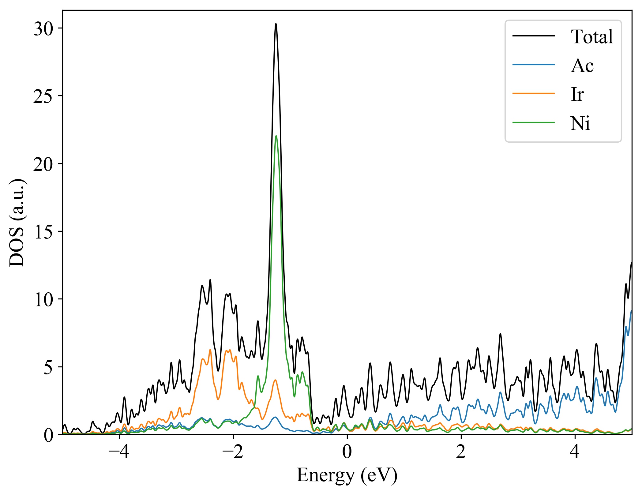
Band gap (PBE) (eV) 0
Total energy (eV) -23.740
Total energy / atom (eV) -5.935

Lattice Parameters(conventional cell, from the source)

a, b, c (Å): 7.390 7.390 7.390
α, β, γ(°): 90.0 90.0 90.0

Lattice Parameters(conventional cell, relaxed)

a, b, c (Å): 7.400 7.400 7.400
α, β, γ(°): 90.0 90.0 90.0
Ac2Ir1Ni1
.
Property Value
Bulk-modulus 74.736 GPa






Ac2Ir1Ni1
  
Property Value
Band gap 0 eV
Property Value
Source mp-862849-Ac2Ir1Ni1