Ag1As1Zn1

MatHub3d-146-Ag1As1Zn1

Property Value
Space group (216, "'F-43m'")
Magnetic False
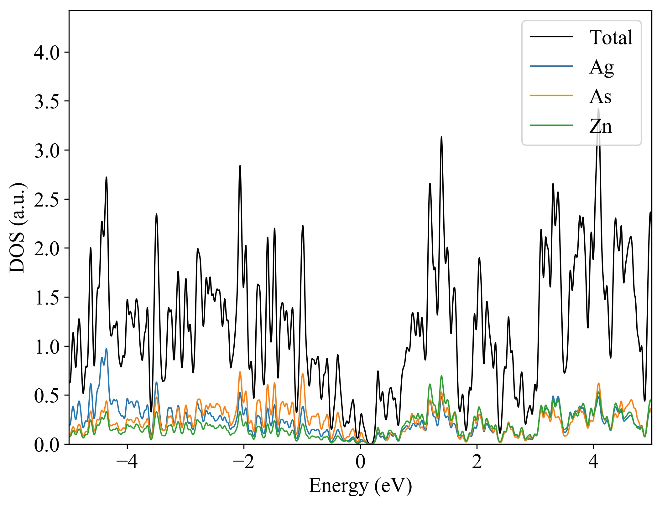
Band gap (PBE) (eV) 0
Total energy (eV) -6.121
Total energy / atom (eV) -2.040

Lattice Parameters(conventional cell, from the source)

a, b, c (Å): 6.240 6.240 6.240
α, β, γ(°): 90.0 90.0 90.0

Lattice Parameters(conventional cell, relaxed)

a, b, c (Å): 6.190 6.190 6.190
α, β, γ(°): 90.0 90.0 90.0
Ag1As1Zn1
.
Property Value
Bulk-modulus 61.399 GPa






Ag1As1Zn1
  
Property Value
Band gap 0 eV
Property Value
Source mp-34611-Ag1As1Zn1