Ag1Au2Eu1

MatHub3d-156-Ag1Au2Eu1

Property Value
Space group (225, "'Fm-3m'")
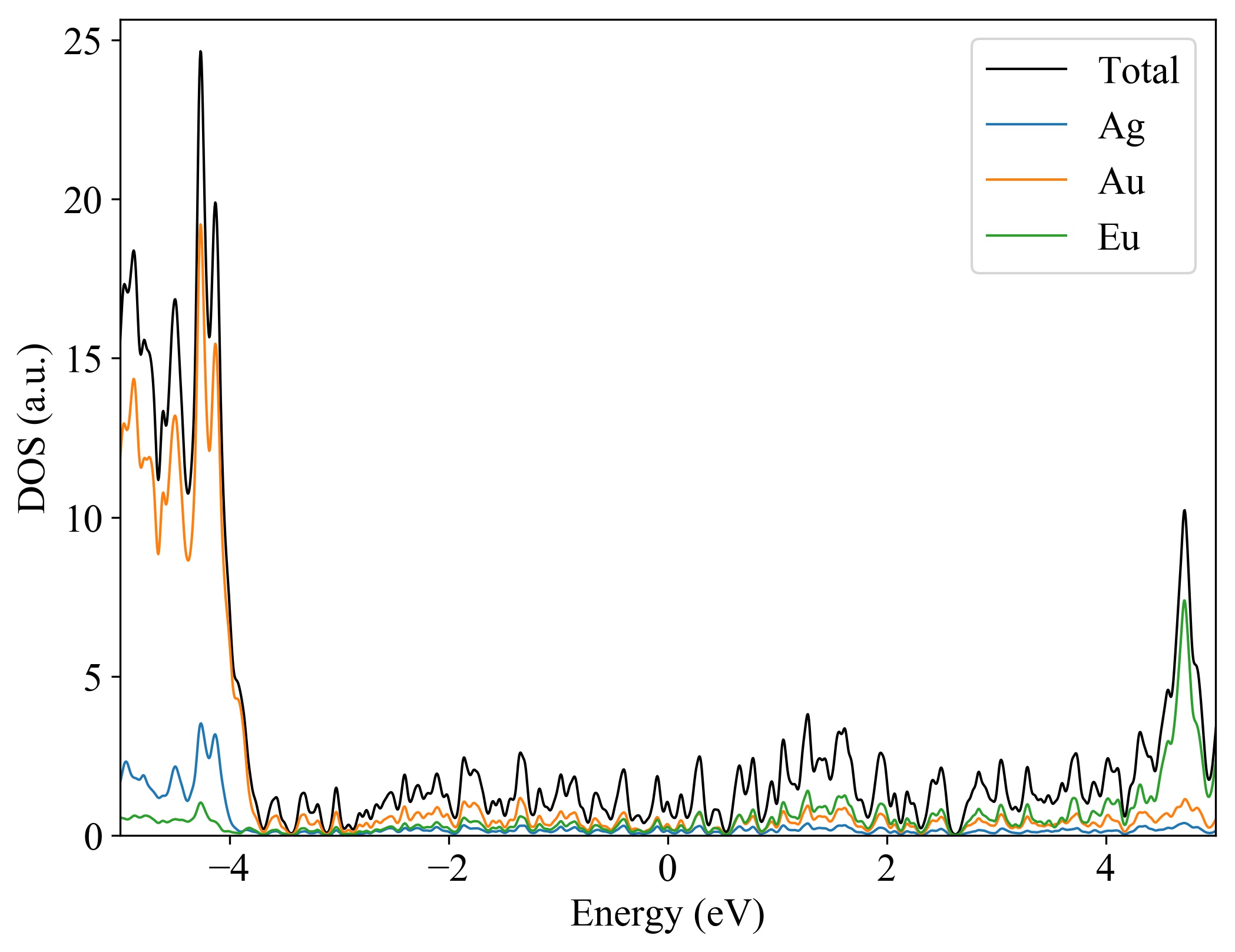
Magnetic False
Band gap (PBE) (eV) 0
Total energy (eV) -7.781
Total energy / atom (eV) -1.945

Lattice Parameters(conventional cell, from the source)

a, b, c (Å): 7.140 7.140 7.140
α, β, γ(°): 90.0 90.0 90.0

Lattice Parameters(conventional cell, relaxed)

a, b, c (Å): 7.020 7.020 7.020
α, β, γ(°): 90.0 90.0 90.0






Ag1Au2Eu1
  
Property Value
Band gap 0 eV
Property Value
Source mp-865013-Ag1Au2Eu1