Ag1Au2Pa1

MatHub3d-159-Ag1Au2Pa1

Property Value
Space group (225, "'Fm-3m'")
Magnetic True
Magnetic moment (μB) 0.08
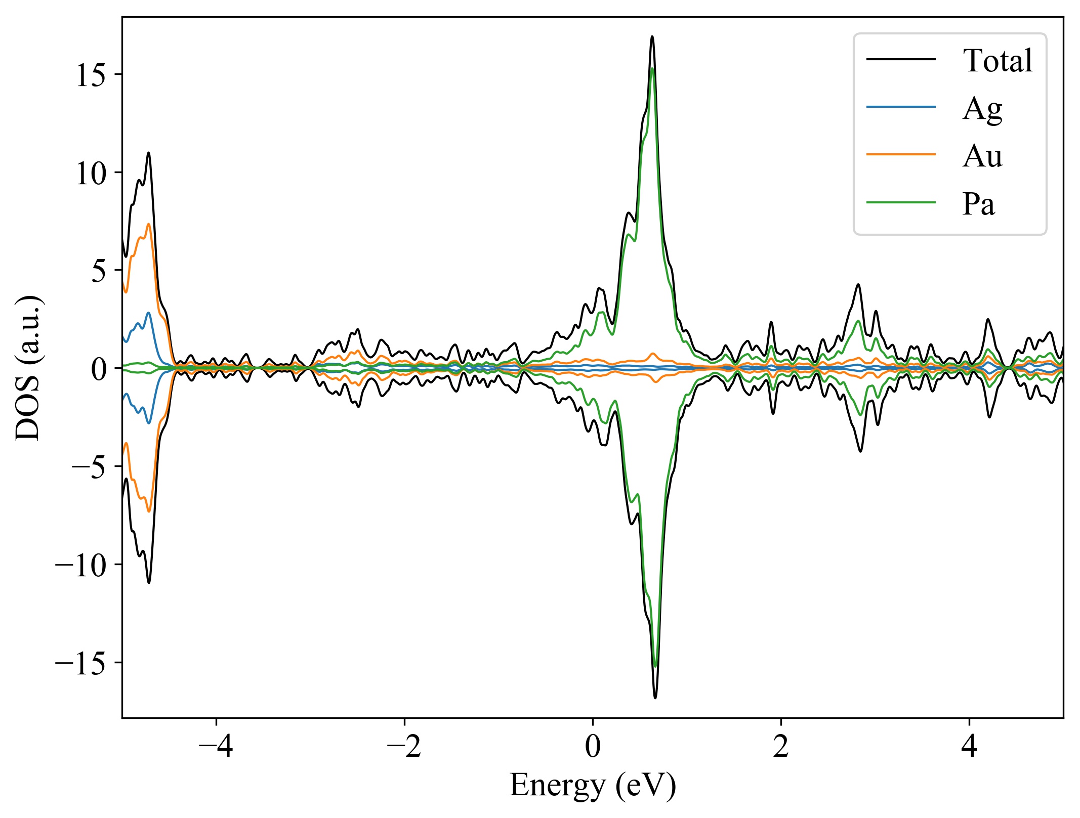
Band gap (PBE) (eV) 0
Total energy (eV) -13.572
Total energy / atom (eV) -3.393

Lattice Parameters(conventional cell, from the source)

a, b, c (Å): 6.960 6.960 6.960
α, β, γ(°): 90.0 90.0 90.0

Lattice Parameters(conventional cell, relaxed)

a, b, c (Å): 6.940 6.940 6.940
α, β, γ(°): 90.0 90.0 90.0






Ag1Au2Pa1
  
Property Value
Band gap 0 eV
Property Value
Source mp-977444-Ag1Au2Pa1