Ag1Bi1Li2

MatHub3d-172-Ag1Bi1Li2

Property Value
Space group (216, "'F-43m'")
Magnetic False
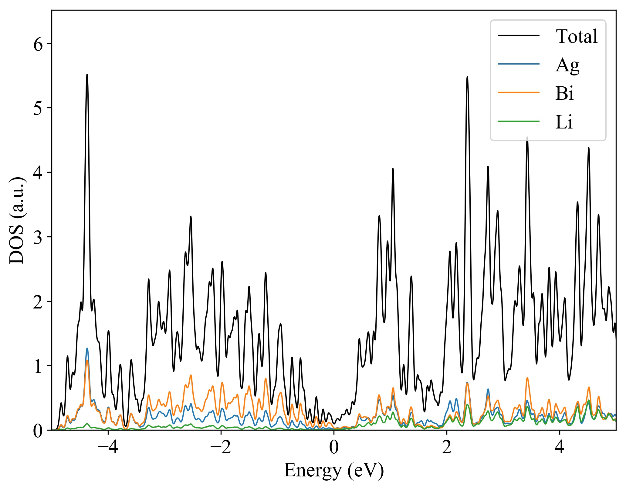
Band gap (PBE) (eV) 0
Total energy (eV) -10.075
Total energy / atom (eV) -2.519

Lattice Parameters(conventional cell, from the source)

a, b, c (Å): 6.740 6.740 6.740
α, β, γ(°): 90.0 90.0 90.0

Lattice Parameters(conventional cell, relaxed)

a, b, c (Å): 6.840 6.840 6.840
α, β, γ(°): 90.0 90.0 90.0
Ag1Bi1Li2
.
Property Value
Bulk-modulus 37.389 GPa






Ag1Bi1Li2
  
Property Value
Band gap 0 eV
Property Value
Source icsd-57350-Ag1Bi1Li2