Ag1Bi1S2

MatHub3d-174-Ag1Bi1S2

Property Value
Space group (123, "'P4/mmm'")
Magnetic False
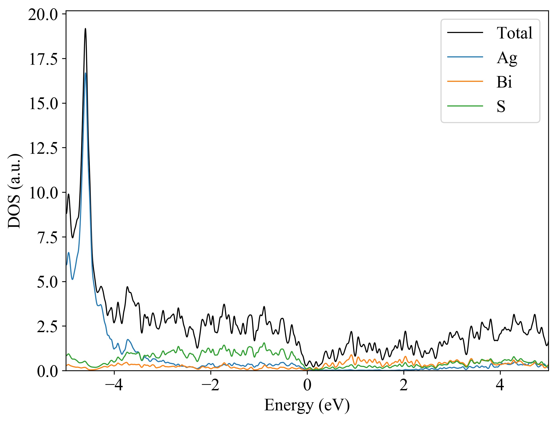
Band gap (PBE) (eV) 0
Total energy (eV) -13.896
Total energy / atom (eV) -3.474

Lattice Parameters(conventional cell, from the source)

a, b, c (Å): 4.030 4.030 5.560
α, β, γ(°): 90.0 90.0 90.0

Lattice Parameters(conventional cell, relaxed)

a, b, c (Å): 4.030 4.030 5.560
α, β, γ(°): 90.0 90.0 90.0
Ag1Bi1S2
.
Property Value
Bulk-modulus 66.027 GPa






Ag1Bi1S2
  
Property Value
Band gap 0 eV
Property Value
Source mp-985828-Ag1Bi1S2