Ag1Bi1Te2

MatHub3d-176-Ag1Bi1Te2

Property Value
Space group (166, "'R-3m'")
Magnetic False
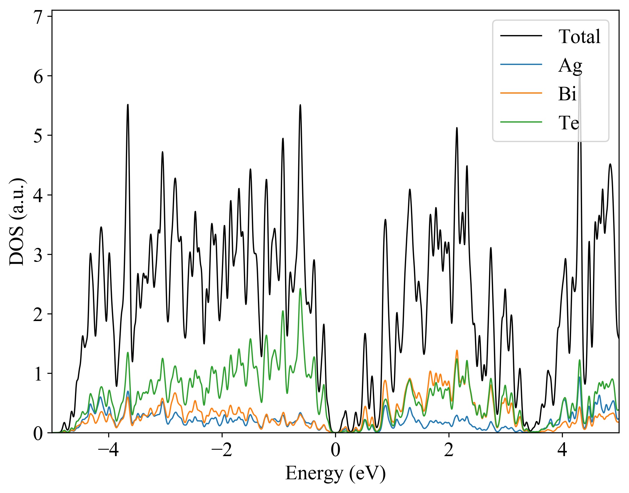
Band gap (PBE) (eV) 0.23
Total energy (eV) -11.892
Total energy / atom (eV) -2.973

Lattice Parameters(conventional cell, from the source)

a, b, c (Å): 4.240 4.240 20.670
α, β, γ(°): 90.0 90.0 120.0

Lattice Parameters(conventional cell, relaxed)

a, b, c (Å): 4.450 4.450 21.160
α, β, γ(°): 90.0 90.0 120.0

Deformation Potential

n_type (eV): 0.293
p_type (eV): -1.489
Ag1Bi1Te2
.
Property Value
Bulk-modulus 48.354 GPa






Ag1Bi1Te2
  
Property Value
Band gap 0.23 eV
n-type Seebeck coefficient (700K)



p-type Seebeck coefficient (700K)
n-type conductivity (700K)



p-type conductivity (700K)
n-type power factor (700K)



p-type power factor (700K)






Eband_VBM -6.8967
Eband_CBM -2.55753
Property Value
Source icsd-43266-Ag1Bi1Te2