Ag1Bi6S9

MatHub3d-179-Ag1Bi6S9

Property Value
Space group (12, "'C2/m'")
Magnetic False
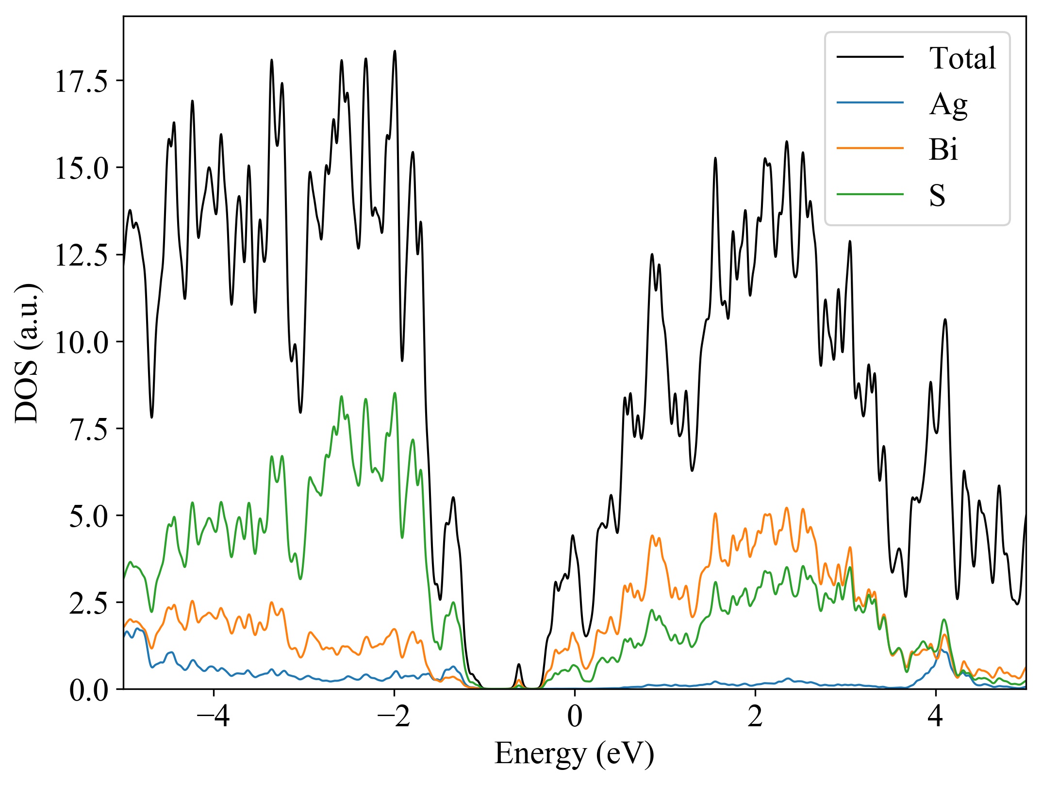
Band gap (PBE) (eV) 0
Total energy (eV) -66.377
Total energy / atom (eV) -4.149

Lattice Parameters(conventional cell, from the source)

a, b, c (Å): 13.830 4.040 14.720
α, β, γ(°): 90.0 98.0 90.0

Lattice Parameters(conventional cell, relaxed)

a, b, c (Å): 13.760 4.080 15.160
α, β, γ(°): 90.0 98.3 90.0
Ag1Bi6S9
.
Property Value
Bulk-modulus 62.061 GPa






Ag1Bi6S9
  
Property Value
Band gap 0 eV
Property Value
Source icsd-69456-Ag1Bi6S9