Ag1C1

MatHub3d-182-Ag1C1

Property Value
Space group (225, "'Fm-3m'")
Magnetic False
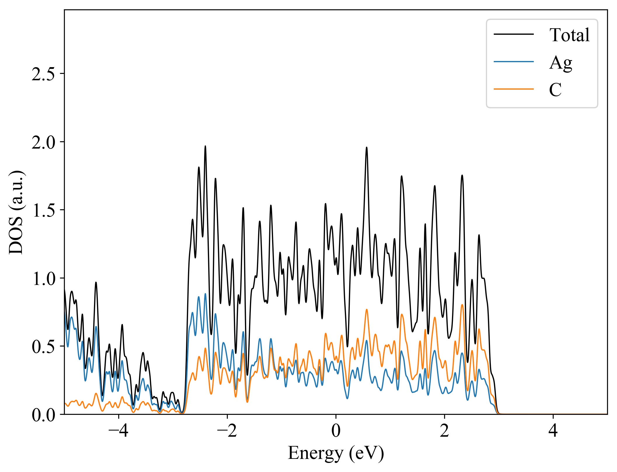
Band gap (PBE) (eV) 0
Total energy (eV) -5.461
Total energy / atom (eV) -2.731

Lattice Parameters(conventional cell, from the source)

a, b, c (Å): 4.670 4.670 4.670
α, β, γ(°): 90.0 90.0 90.0

Lattice Parameters(conventional cell, relaxed)

a, b, c (Å): 4.620 4.620 4.620
α, β, γ(°): 90.0 90.0 90.0






Ag1C1
  
Property Value
Band gap 0 eV
Property Value
Source icsd-183175-Ag1C1