Ag1Cd1Sc2

MatHub3d-198-Ag1Cd1Sc2

Property Value
Space group (225, "'Fm-3m'")
Magnetic False
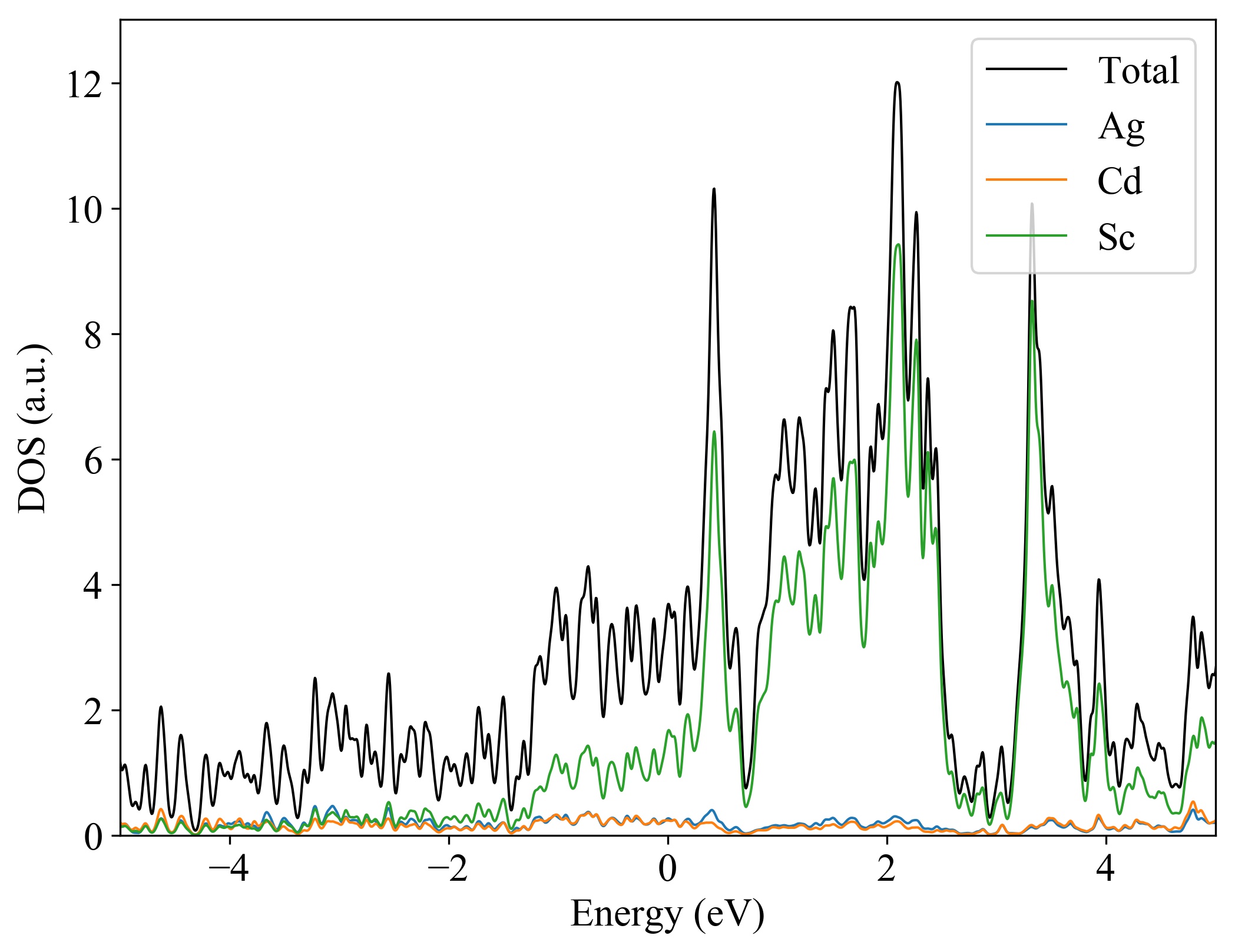
Band gap (PBE) (eV) 0
Total energy (eV) -12.240
Total energy / atom (eV) -3.060

Lattice Parameters(conventional cell, from the source)

a, b, c (Å): 6.990 6.990 6.990
α, β, γ(°): 90.0 90.0 90.0

Lattice Parameters(conventional cell, relaxed)

a, b, c (Å): 7.070 7.070 7.070
α, β, γ(°): 90.0 90.0 90.0
Ag1Cd1Sc2
.
Property Value
Bulk-modulus 66.713 GPa






Ag1Cd1Sc2
  
Property Value
Band gap 0 eV
Property Value
Source mp-972882-Ag1Cd1Sc2