Ag1Cd2Li1

MatHub3d-200-Ag1Cd2Li1

Property Value
Space group (225, "'Fm-3m'")
Magnetic False
Band gap (PBE) (eV) 0.04
Total energy (eV) -4.142
Total energy / atom (eV) -1.036

Lattice Parameters(conventional cell, from the source)

a, b, c (Å): 6.720 6.720 6.720
α, β, γ(°): 90.0 90.0 90.0

Lattice Parameters(conventional cell, relaxed)

a, b, c (Å): 6.720 6.720 6.720
α, β, γ(°): 90.0 90.0 90.0
Ag1Cd2Li1
.
Property Value
Bulk-modulus 46.202 GPa






Ag1Cd2Li1
  
Property Value
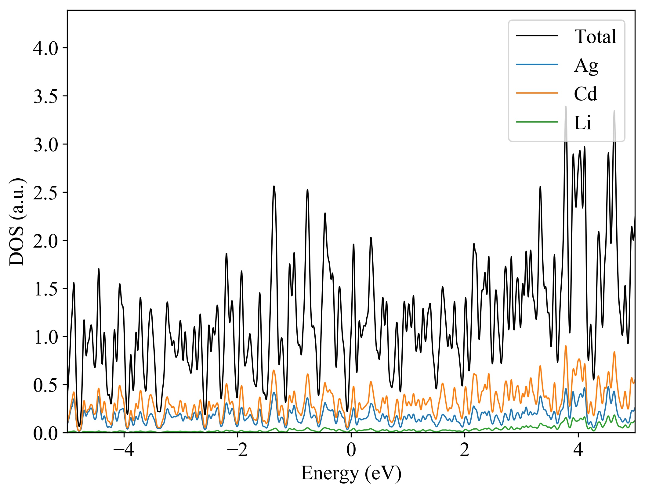
Band gap 0.04 eV
Property Value
Source mp-867204-Ag1Cd2Li1