Ag1Cd2Rh1

MatHub3d-201-Ag1Cd2Rh1

Property Value
Space group (225, "'Fm-3m'")
Magnetic False
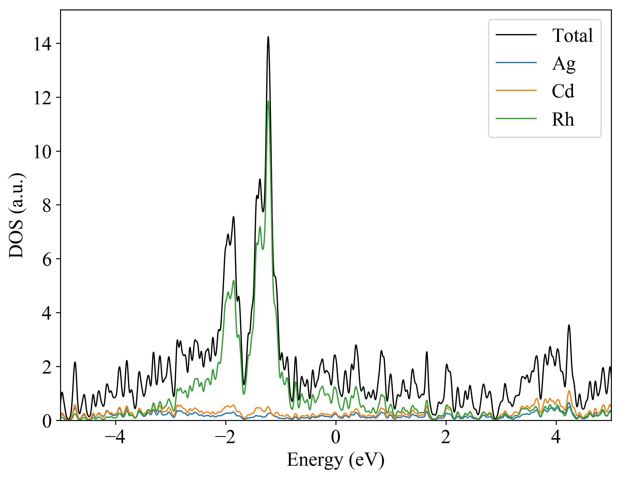
Band gap (PBE) (eV) 0
Total energy (eV) -5.938
Total energy / atom (eV) -1.485

Lattice Parameters(conventional cell, from the source)

a, b, c (Å): 6.620 6.620 6.620
α, β, γ(°): 90.0 90.0 90.0

Lattice Parameters(conventional cell, relaxed)

a, b, c (Å): 6.570 6.570 6.570
α, β, γ(°): 90.0 90.0 90.0
Ag1Cd2Rh1
.
Property Value
Bulk-modulus 97.860 GPa






Ag1Cd2Rh1
  
Property Value
Band gap 0 eV
Property Value
Source mp-861878-Ag1Cd2Rh1