Ag1Ce1

MatHub3d-202-Ag1Ce1

Property Value
Space group (221, "'Pm-3m'")
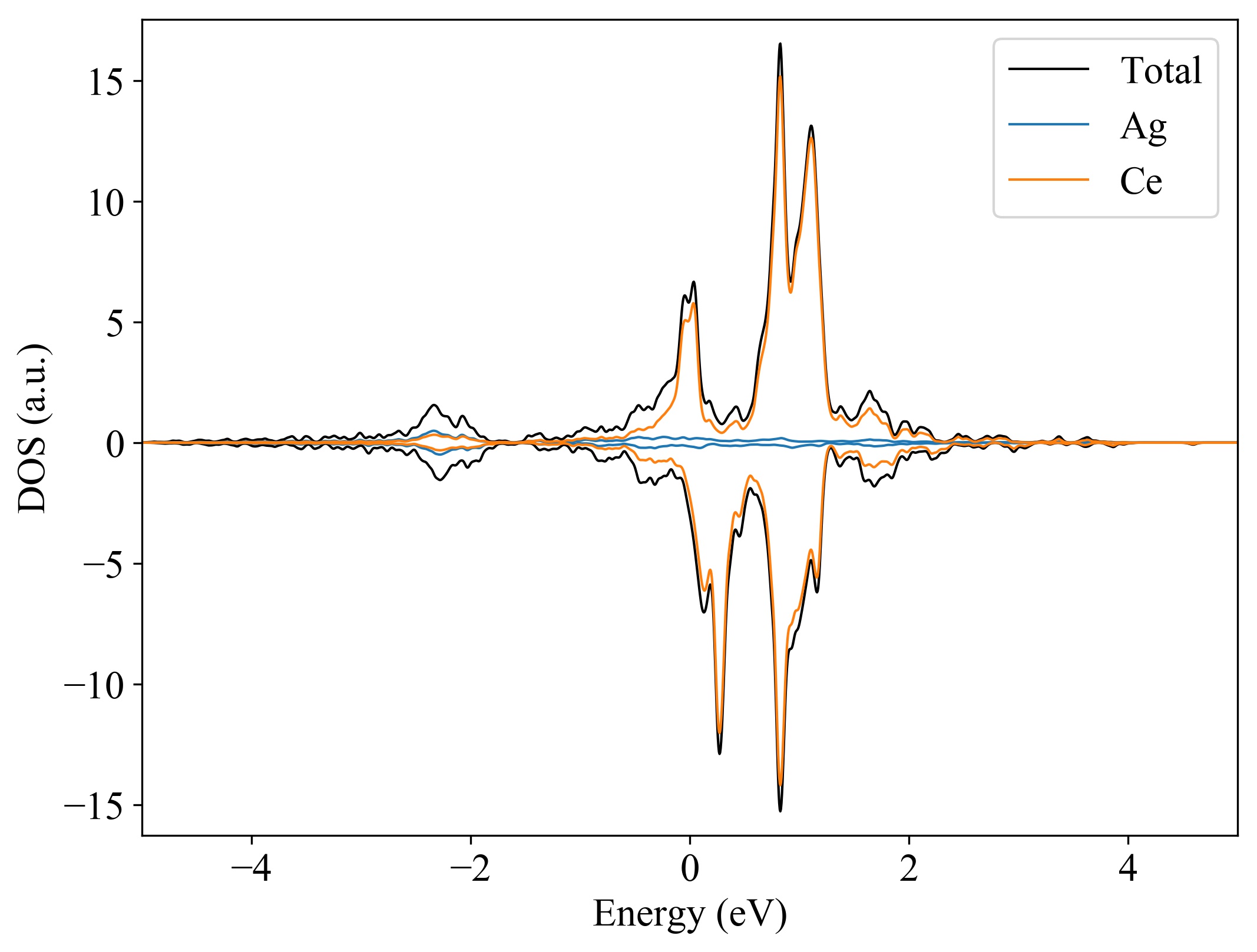
Magnetic True
Magnetic moment (μB) 0.06
Band gap (PBE) (eV) 0
Total energy (eV) -4.361
Total energy / atom (eV) -2.180

Lattice Parameters(conventional cell, from the source)

a, b, c (Å): 3.730 3.730 3.730
α, β, γ(°): 90.0 90.0 90.0

Lattice Parameters(conventional cell, relaxed)

a, b, c (Å): 3.730 3.730 3.730
α, β, γ(°): 90.0 90.0 90.0






Ag1Ce1
  
Property Value
Band gap 0 eV
Property Value
Source icsd-150962-Ag1Ce1