Ag1Ce1Mg2

MatHub3d-205-Ag1Ce1Mg2

Property Value
Space group (225, "'Fm-3m'")
Magnetic True
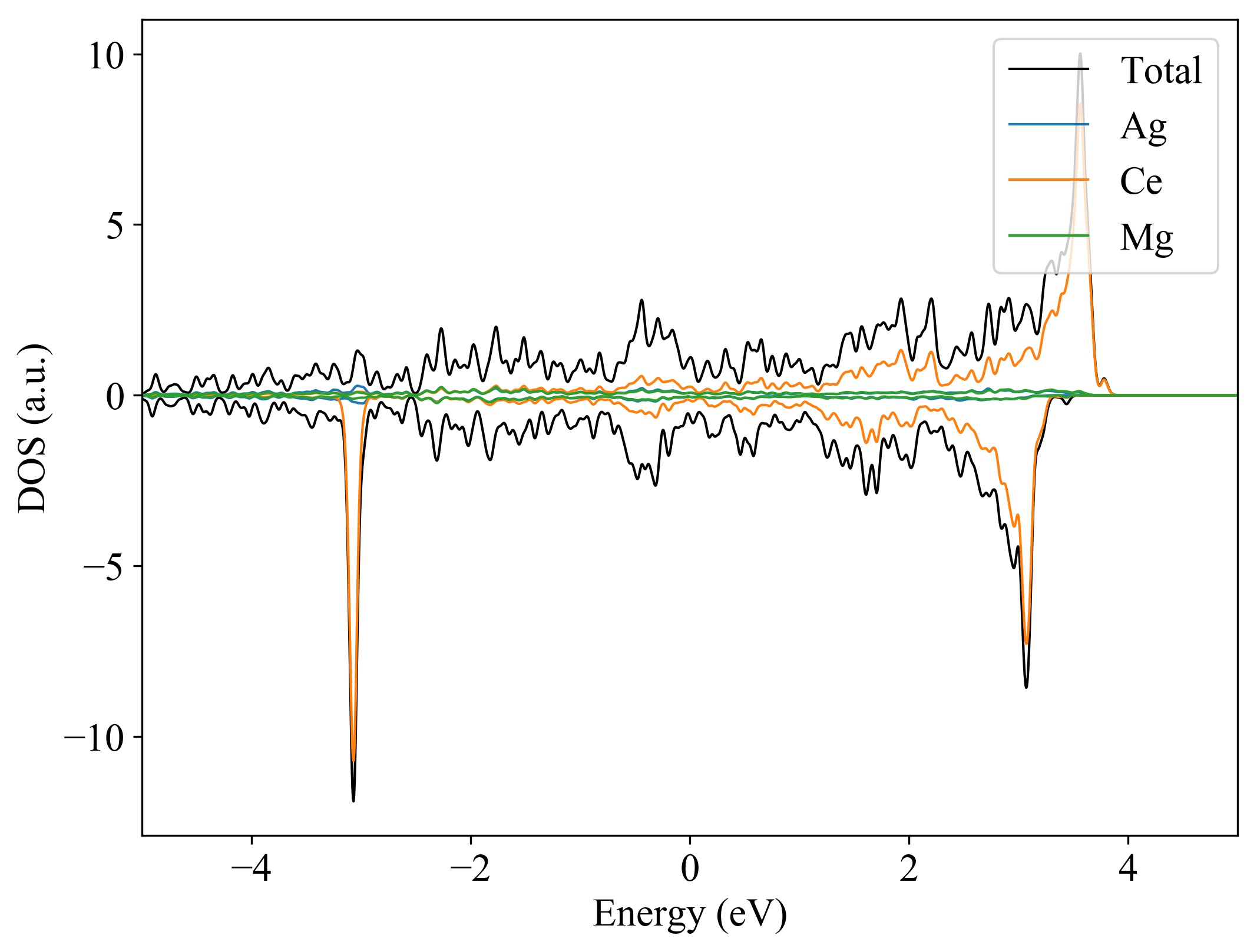
Band gap (PBE) (eV) 0
Total energy (eV) -9.244
Total energy / atom (eV) -2.311

Lattice Parameters(conventional cell, from the source)

a, b, c (Å): 7.290 7.290 7.290
α, β, γ(°): 90.0 90.0 90.0

Lattice Parameters(conventional cell, relaxed)

a, b, c (Å): 7.280 7.280 7.280
α, β, γ(°): 90.0 90.0 90.0






Ag1Ce1Mg2
  
Property Value
Band gap 0 eV
Property Value
Source icsd-57373-Ag1Ce1Mg2