Ag1Ce2Pb1

MatHub3d-207-Ag1Ce2Pb1

Property Value
Space group (225, "'Fm-3m'")
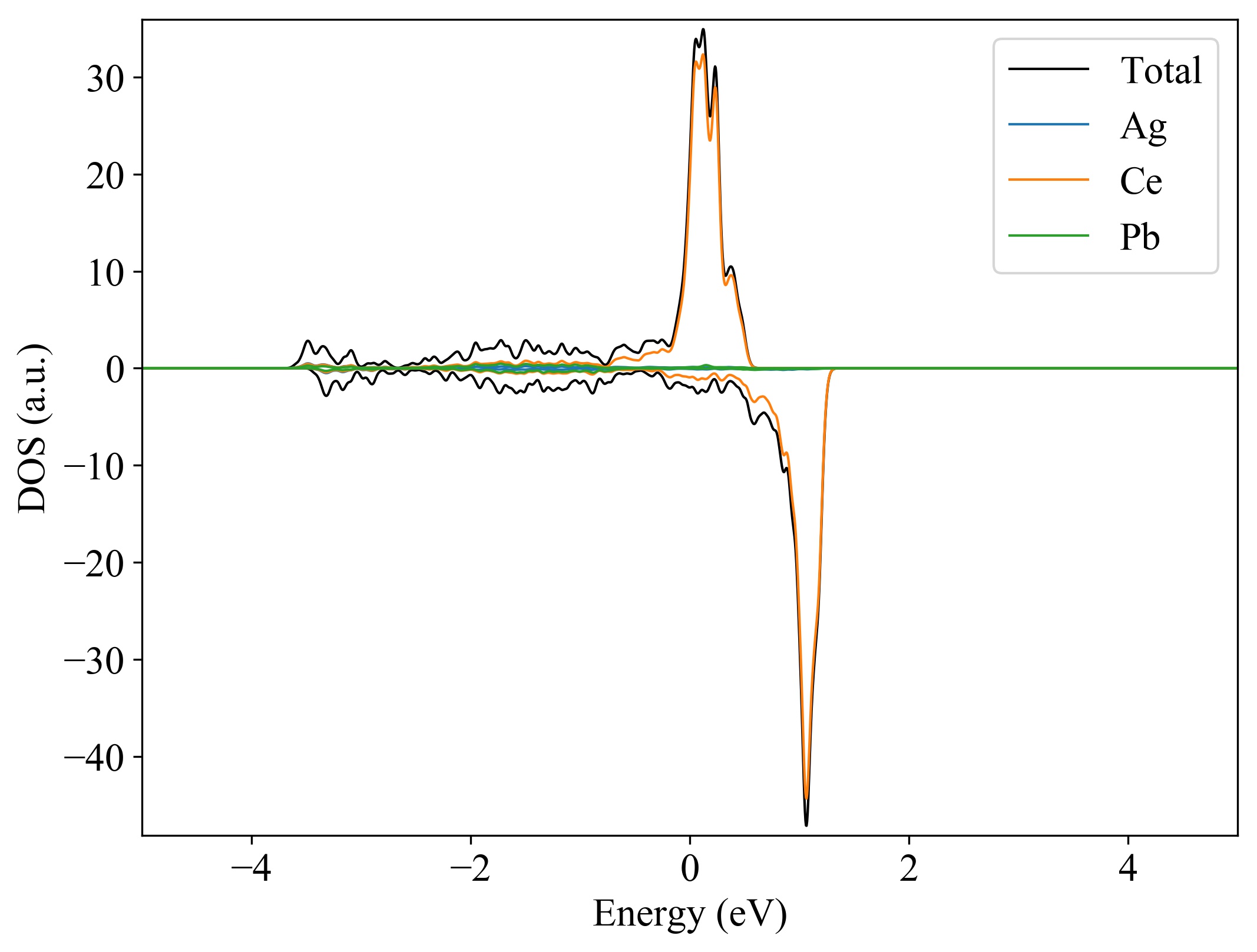
Magnetic True
Magnetic moment (μB) 2.00
Band gap (PBE) (eV) 0
Total energy (eV) -12.321
Total energy / atom (eV) -3.080

Lattice Parameters(conventional cell, from the source)

a, b, c (Å): 7.710 7.710 7.710
α, β, γ(°): 90.0 90.0 90.0

Lattice Parameters(conventional cell, relaxed)

a, b, c (Å): 7.710 7.710 7.710
α, β, γ(°): 90.0 90.0 90.0






Ag1Ce2Pb1
  
Property Value
Band gap 0 eV
Property Value
Source mp-867239-Ag1Ce2Pb1