Ag1Ce5Se8

MatHub3d-209-Ag1Ce5Se8

Property Value
Space group (82, "'I-4'")
Magnetic True
Magnetic moment (μB) 5.64
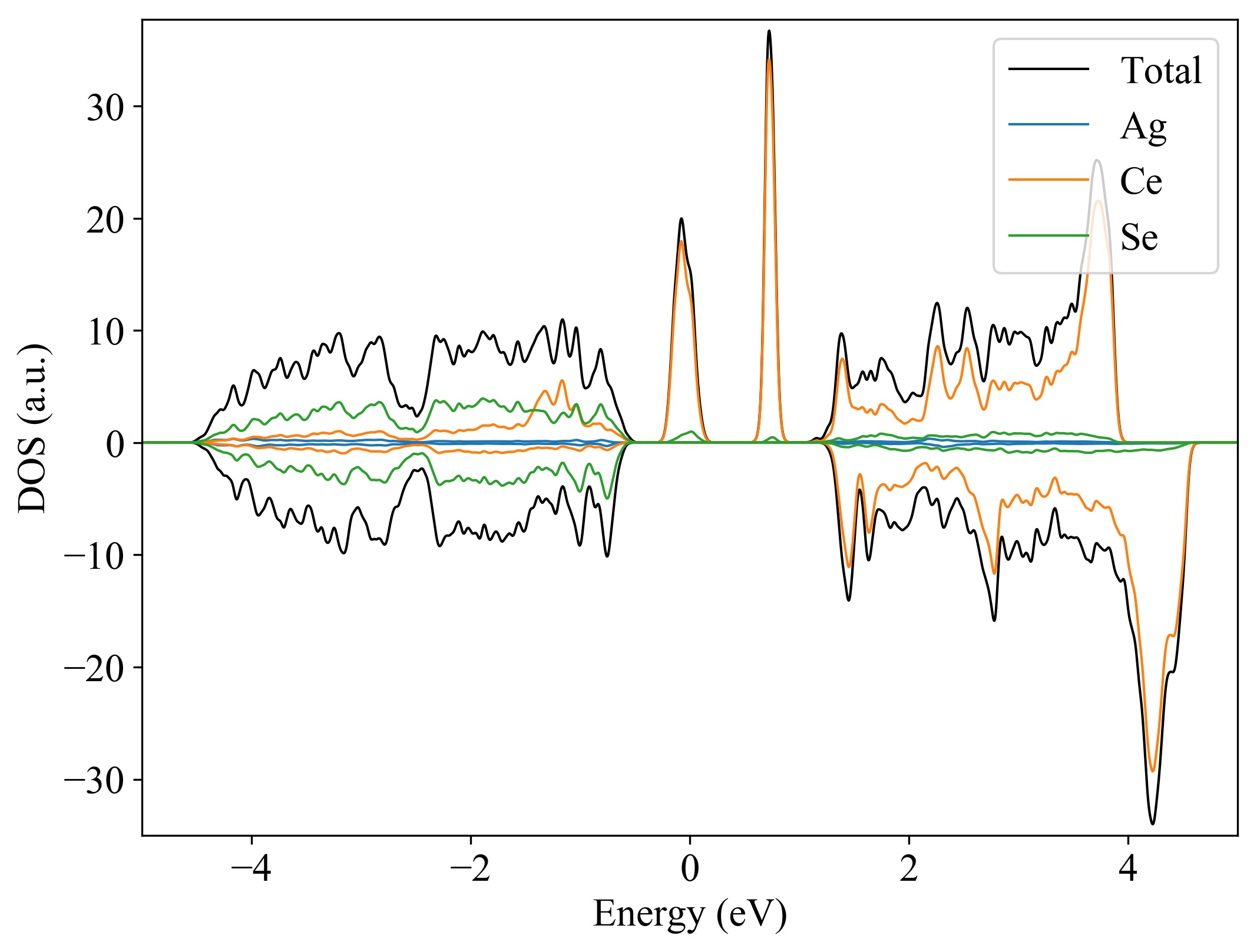
Band gap (PBE) (eV) 0
Total energy (eV) -71.991
Total energy / atom (eV) -5.142

Lattice Parameters(conventional cell, from the source)

a, b, c (Å): 8.850 8.850 9.020
α, β, γ(°): 90.0 90.0 90.0

Lattice Parameters(conventional cell, relaxed)

a, b, c (Å): 9.010 9.010 9.120
α, β, γ(°): 90.0 90.0 90.0






Ag1Ce5Se8
  
Property Value
Band gap 0 eV
Property Value
Source mp-676143-Ag1Ce5Se8