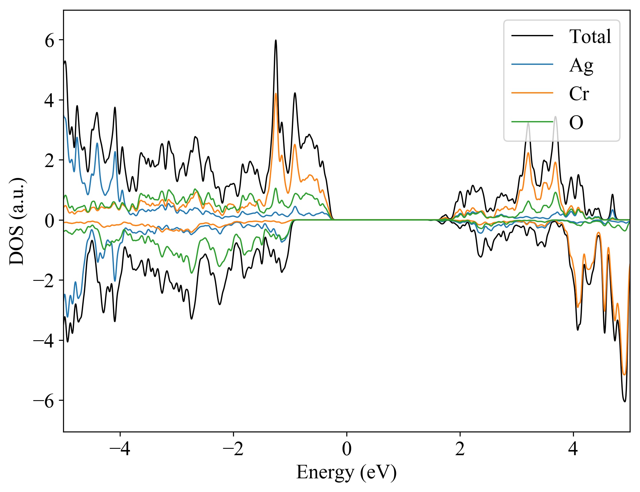
Ag1Cr1O2

MatHub3d-214-Ag1Cr1O2

Property Value
Space group (166, "'R-3m'")
Magnetic True
Magnetic moment (μB) 3.00
Band gap (PBE) (eV) 1.76
Total energy (eV) -23.811
Total energy / atom (eV) -5.953

Lattice Parameters(conventional cell, from the source)

a, b, c (Å): 2.990 2.990 18.510
α, β, γ(°): 90.0 90.0 120.0

Lattice Parameters(conventional cell, relaxed)

a, b, c (Å): 3.060 3.060 18.630
α, β, γ(°): 90.0 90.0 120.0

Deformation Potential

n_type (eV): -1.325
p_type (eV): -0.762
Ag1Cr1O2
.
Property Value
Bulk-modulus 140.459 GPa






Ag1Cr1O2
  
Property Value
Band gap 1.76 eV
Band degeneracy(CBM) 1.00
Band degeneracy(VBM) 3.00
n-type Seebeck coefficient (700K)



p-type Seebeck coefficient (700K)
n-type conductivity (700K)



p-type conductivity (700K)
n-type power factor (700K)



p-type power factor (700K)
Property Value
Source icsd-4149-Ag1Cr1O2