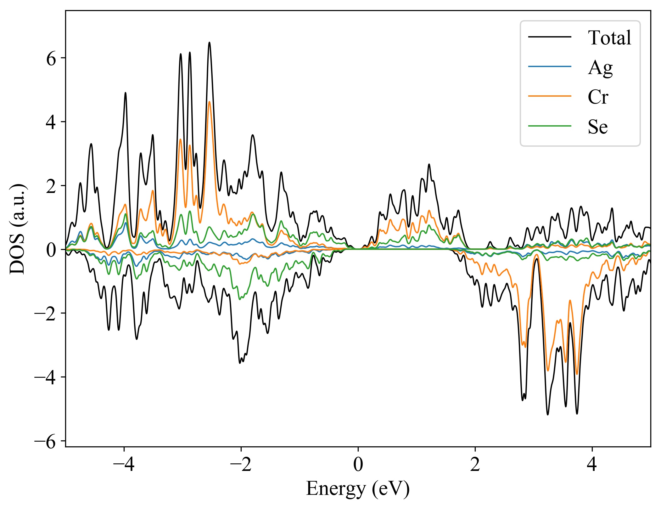
Ag1Cr1Se2

MatHub3d-216-Ag1Cr1Se2

Property Value
Space group (160, "'R3m'")
Magnetic True
Magnetic moment (μB) 3.00
Band gap (PBE) (eV) 0.35
Total energy (eV) -17.025
Total energy / atom (eV) -4.256

Lattice Parameters(conventional cell, from the source)

a, b, c (Å): 3.680 3.680 21.230
α, β, γ(°): 90.0 90.0 120.0

Lattice Parameters(conventional cell, relaxed)

a, b, c (Å): 3.820 3.820 21.180
α, β, γ(°): 90.0 90.0 120.0

Deformation Potential

n_type (eV): -1.740
p_type (eV): -0.268
Ag1Cr1Se2
.
Property Value
Bulk-modulus 60.531 GPa






Ag1Cr1Se2
  
Property Value
Band gap 0.35 eV
Band degeneracy(CBM) 3.00
Band degeneracy(VBM) 1.00
n-type Seebeck coefficient (700K)



p-type Seebeck coefficient (700K)
n-type conductivity (700K)



p-type conductivity (700K)
n-type power factor (700K)



p-type power factor (700K)
Property Value
Source icsd-68423-Ag1Cr1Se2