Ag1Cr3O8

MatHub3d-220-Ag1Cr3O8

Property Value
Space group (12, "'C2/m'")
Magnetic True
Magnetic moment (μB) 3.00
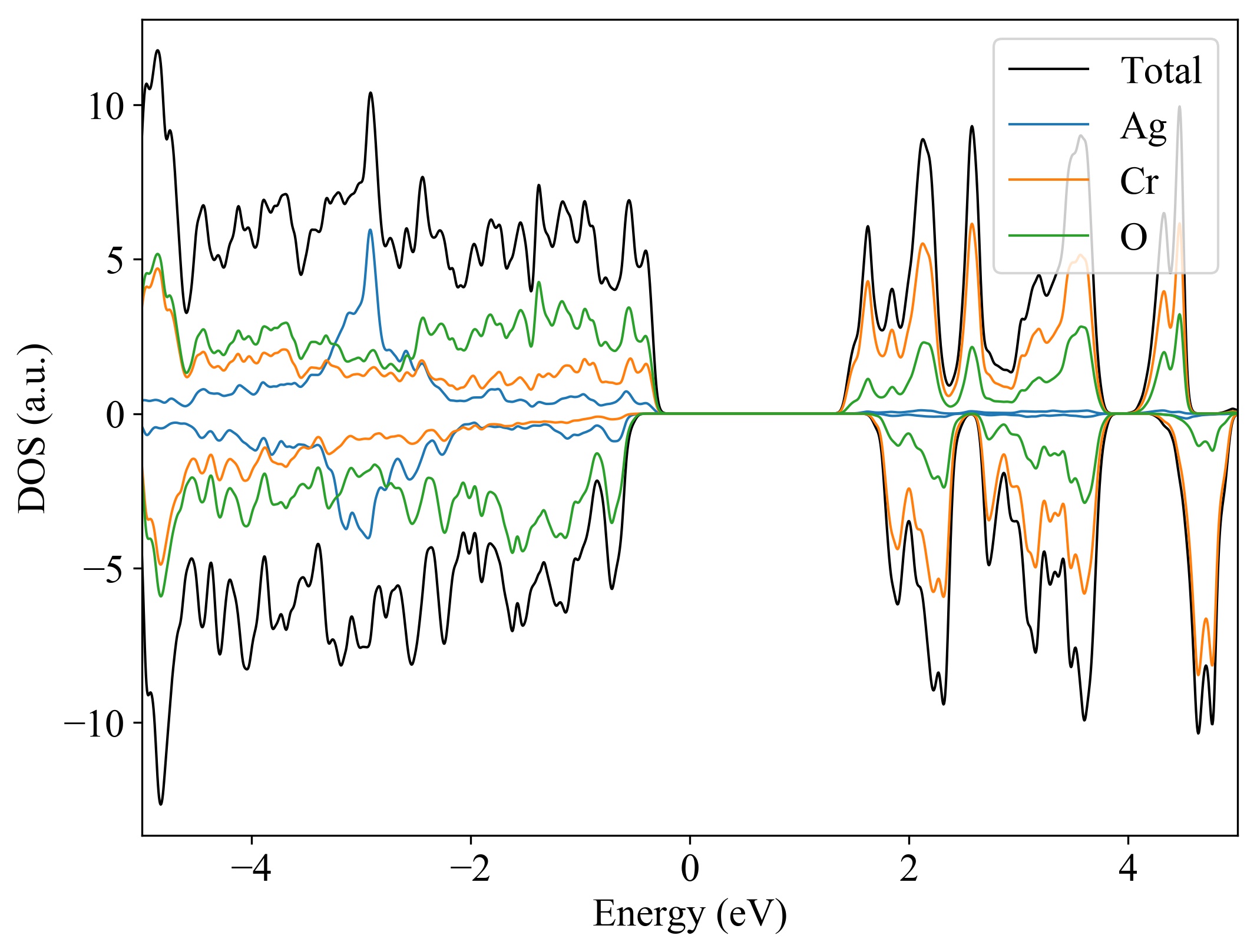
Band gap (PBE) (eV) 1.72
Total energy (eV) -78.290
Total energy / atom (eV) -6.524

Lattice Parameters(conventional cell, from the source)

a, b, c (Å): 8.640 5.520 7.200
α, β, γ(°): 90.0 94.0 90.0

Lattice Parameters(conventional cell, relaxed)

a, b, c (Å): 8.700 5.550 7.130
α, β, γ(°): 90.0 92.3 90.0

Deformation Potential

n_type (eV): -2.393
p_type (eV): -1.781
Ag1Cr3O8
.
Property Value
Bulk-modulus 135.087 GPa






Ag1Cr3O8
  
Property Value
Band gap 1.72 eV
Band degeneracy(CBM) 1.00
Band degeneracy(VBM) 1.00
n-type Seebeck coefficient (700K)



p-type Seebeck coefficient (700K)
n-type conductivity (700K)



p-type conductivity (700K)
n-type power factor (700K)



p-type power factor (700K)
Property Value
Source icsd-155507-Ag1Cr3O8