Ag1Dy2Ru1

MatHub3d-232-Ag1Dy2Ru1

Property Value
Space group (225, "'Fm-3m'")
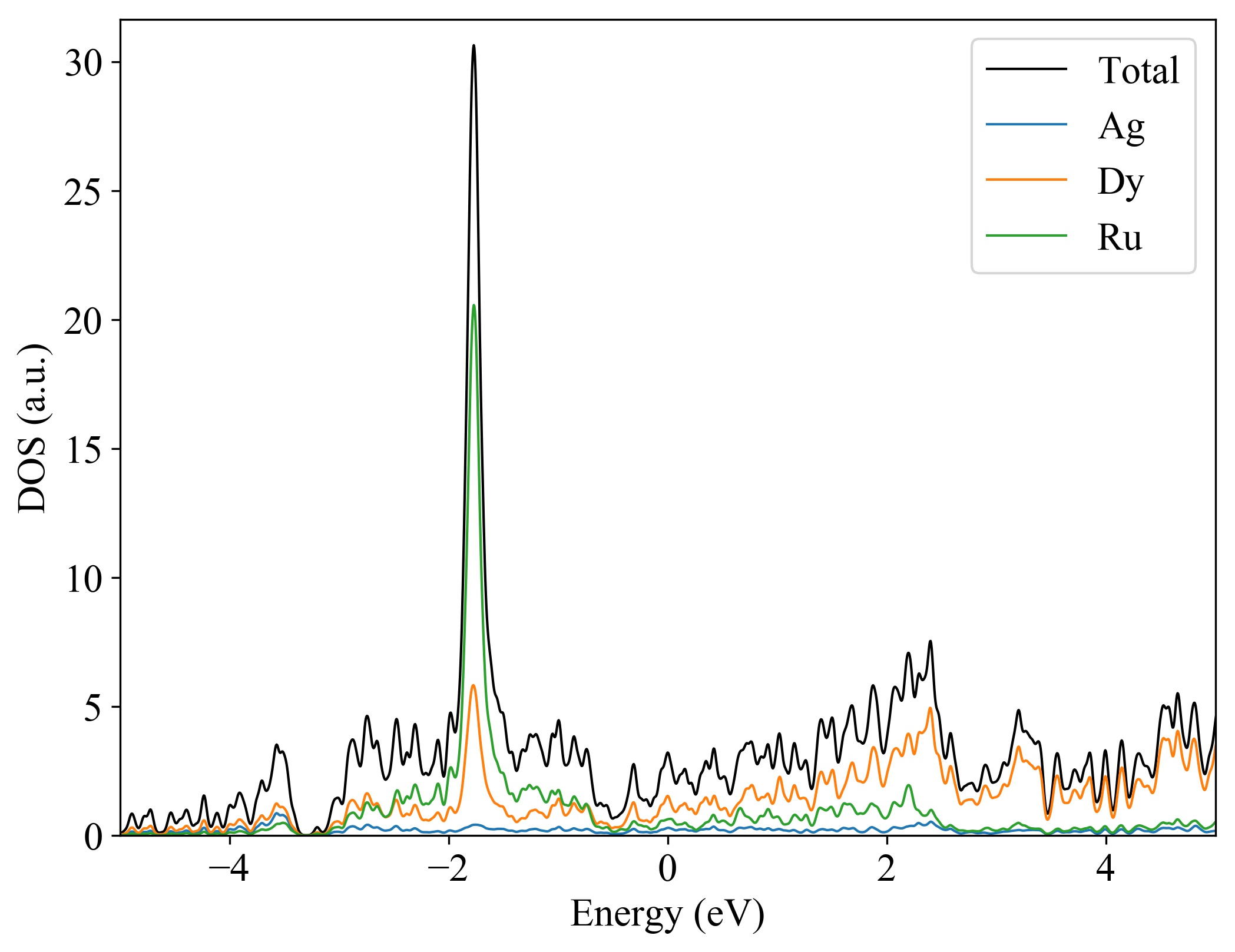
Magnetic False
Band gap (PBE) (eV) 0
Total energy (eV) -17.034
Total energy / atom (eV) -4.259

Lattice Parameters(conventional cell, from the source)

a, b, c (Å): 7.020 7.020 7.020
α, β, γ(°): 90.0 90.0 90.0

Lattice Parameters(conventional cell, relaxed)

a, b, c (Å): 6.990 6.990 6.990
α, β, γ(°): 90.0 90.0 90.0






Ag1Dy2Ru1
  
Property Value
Band gap 0 eV
Property Value
Source mp-865161-Ag1Dy2Ru1