Ag1F1

MatHub3d-241-Ag1F1

Property Value
Space group (225, "'Fm-3m'")
Magnetic False
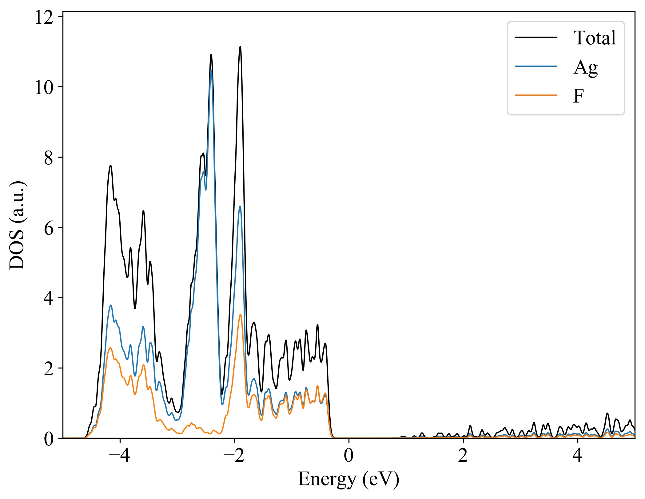
Band gap (PBE) (eV) 1.13
Total energy (eV) -5.197
Total energy / atom (eV) -2.599

Lattice Parameters(conventional cell, from the source)

a, b, c (Å): 4.920 4.920 4.920
α, β, γ(°): 90.0 90.0 90.0

Lattice Parameters(conventional cell, relaxed)

a, b, c (Å): 4.970 4.970 4.970
α, β, γ(°): 90.0 90.0 90.0

Deformation Potential

n_type (eV): -3.779
p_type (eV): -5.569
Ag1F1
.
Property Value
Bulk-modulus 56.265 GPa






Ag1F1
  
Property Value
Band gap 1.13 eV
Band degeneracy(CBM) 1.00
Band degeneracy(VBM) 8.00
n-type Seebeck coefficient (700K)



p-type Seebeck coefficient (700K)
n-type conductivity (700K)



p-type conductivity (700K)
n-type power factor (700K)



p-type power factor (700K)






Eband_VBM -6.89765
Eband_CBM -0.88475
Property Value
Source icsd-18008-Ag1F1