Ag1F3K1

MatHub3d-244-Ag1F3K1

Property Value
Space group (123, "'P4/mmm'")
Magnetic True
Magnetic moment (μB) 0.41
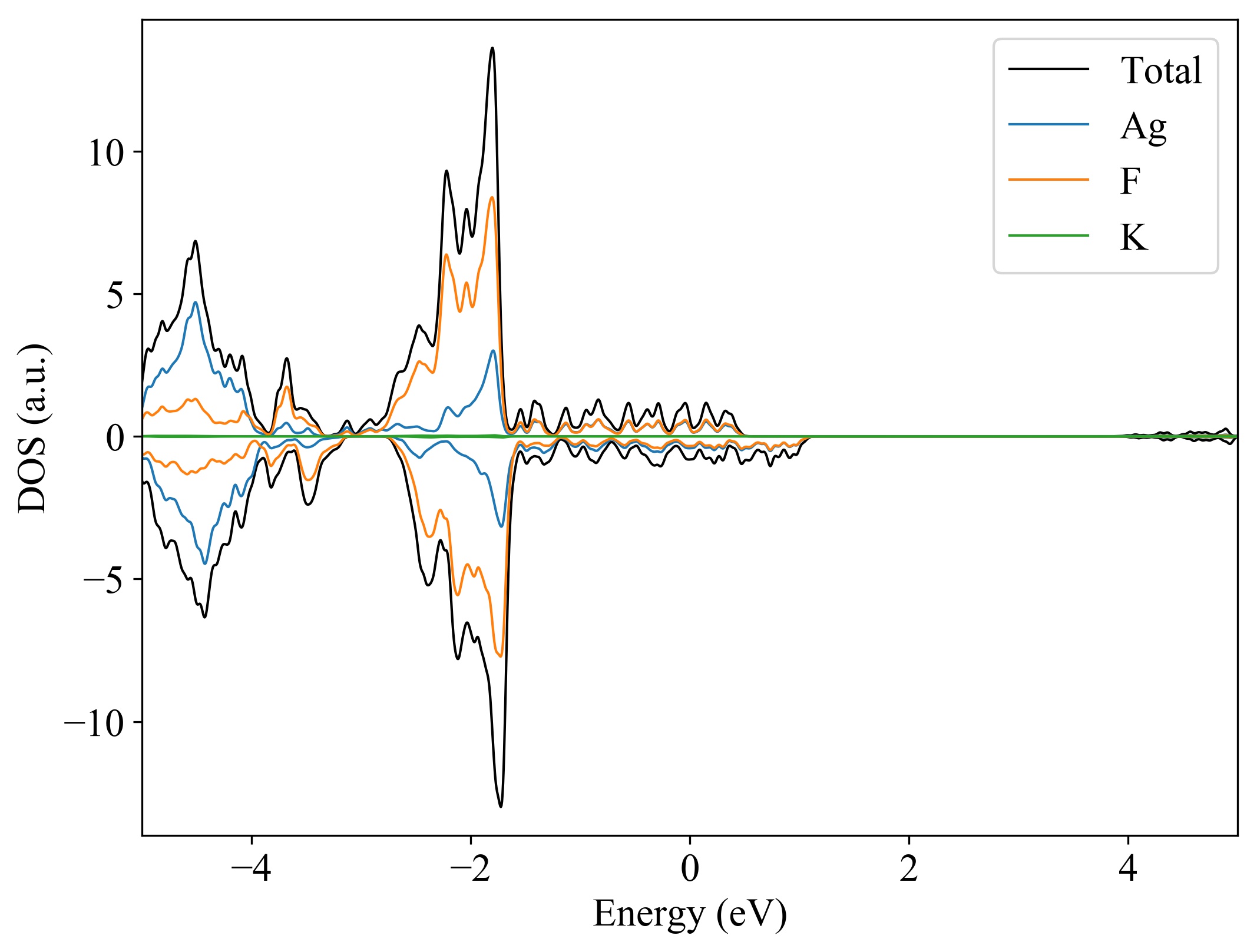
Band gap (PBE) (eV) 0
Total energy (eV) -16.566
Total energy / atom (eV) -3.313

Lattice Parameters(conventional cell, from the source)

a, b, c (Å): 4.400 4.400 4.150
α, β, γ(°): 90.0 90.0 90.0

Lattice Parameters(conventional cell, relaxed)

a, b, c (Å): 4.370 4.370 4.330
α, β, γ(°): 90.0 90.0 90.0






Ag1F3K1
  
Property Value
Band gap 0 eV
Property Value
Source icsd-23155-Ag1F3K1