Ag1F5Li2

MatHub3d-250-Ag1F5Li2

Property Value
Space group (1, "'P1'")
Magnetic False
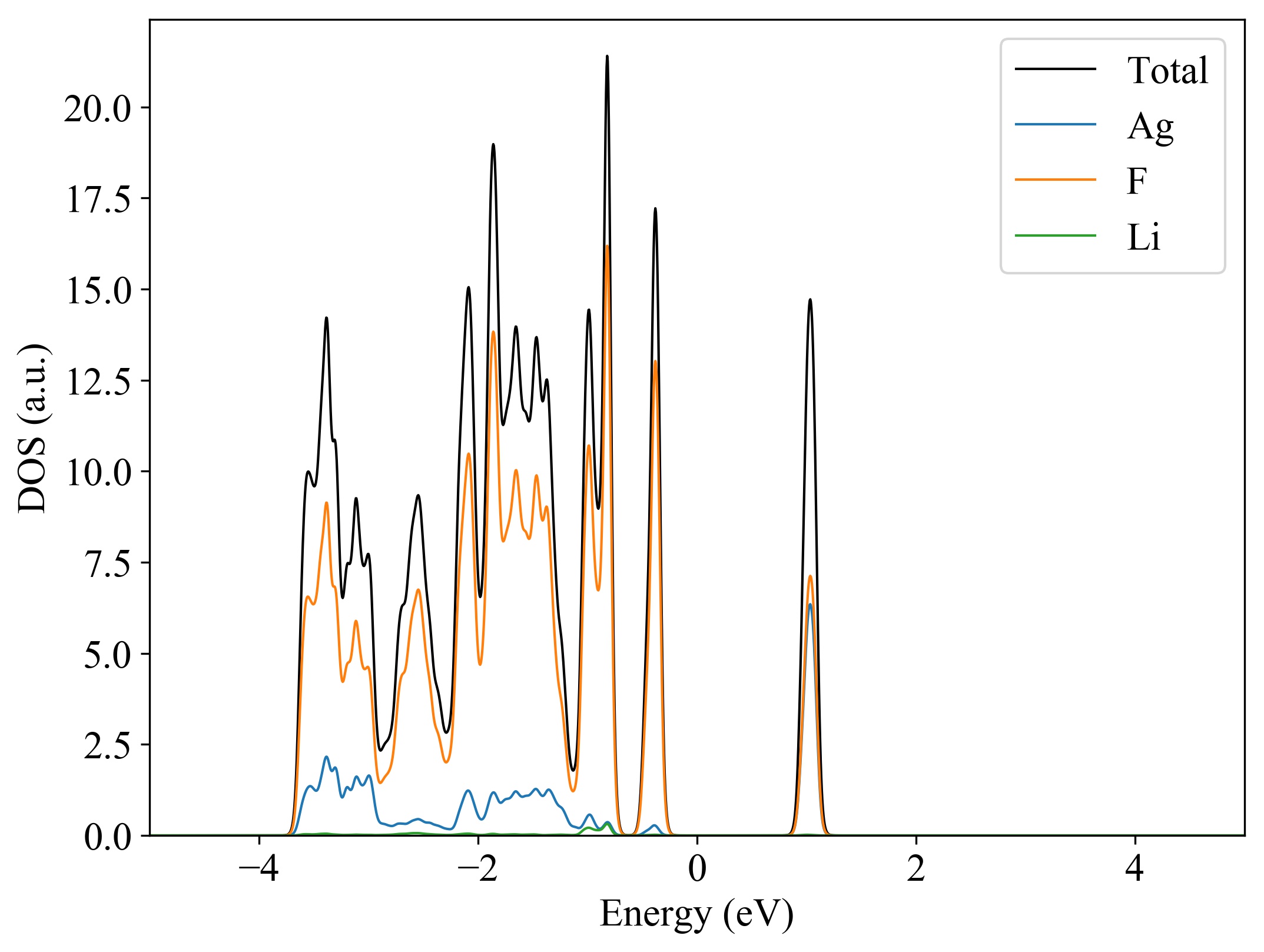
Band gap (PBE) (eV) 1.26
Total energy (eV) -29.587
Total energy / atom (eV) -3.698

Lattice Parameters(conventional cell, from the source)

a, b, c (Å): 3.660 5.010 5.960
α, β, γ(°): 87.0 84.0 79.0

Lattice Parameters(conventional cell, relaxed)

a, b, c (Å): 3.470 5.670 5.810
α, β, γ(°): 95.5 103.1 99.8

Deformation Potential

n_type (eV): -2.407
p_type (eV): 2.343
Ag1F5Li2
.
Property Value
Bulk-modulus 60.968 GPa






Ag1F5Li2
  
Property Value
Band gap 1.26 eV
Band degeneracy(CBM) 1.00
Band degeneracy(VBM) 2.00
n-type Seebeck coefficient (700K)



p-type Seebeck coefficient (700K)
n-type conductivity (700K)



p-type conductivity (700K)
n-type power factor (700K)



p-type power factor (700K)






Eband_VBM 7.96761
Eband_CBM 0.58506
Property Value
Source mp-753316-Ag1F5Li2