Ag1F6P1

MatHub3d-251-Ag1F6P1

Property Value
Space group (225, "'Fm-3m'")
Magnetic False
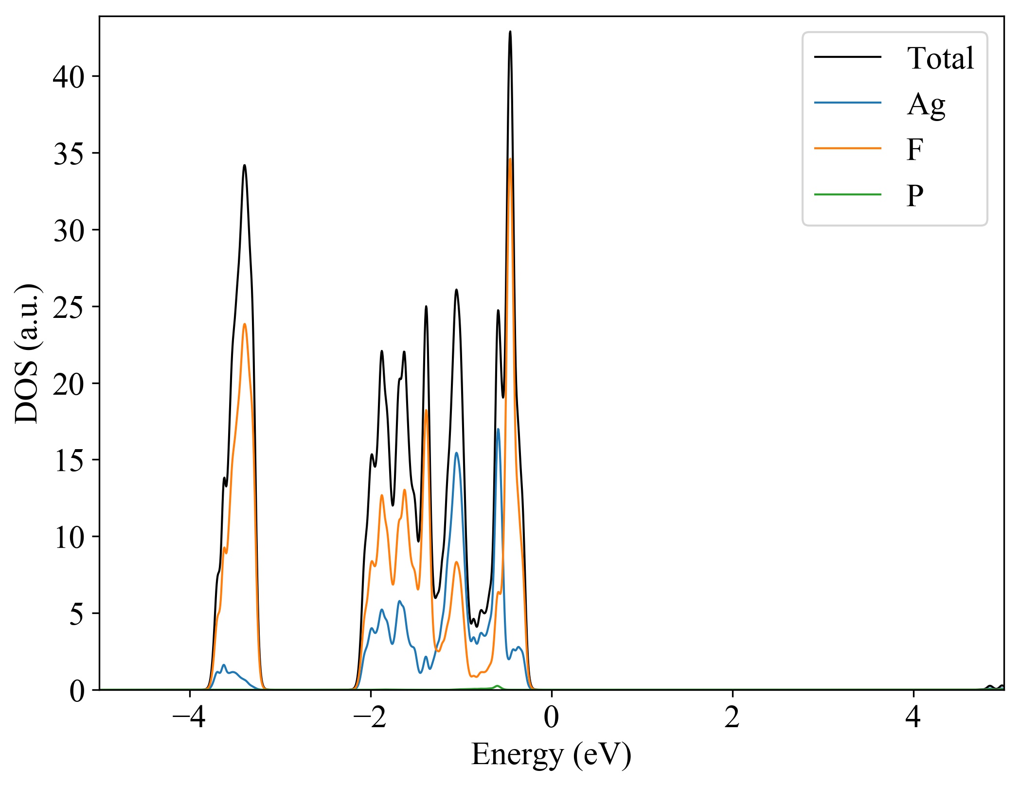
Band gap (PBE) (eV) 5.05
Total energy (eV) -35.454
Total energy / atom (eV) -4.432

Lattice Parameters(conventional cell, from the source)

a, b, c (Å): 8.260 8.260 8.260
α, β, γ(°): 90.0 90.0 90.0

Lattice Parameters(conventional cell, relaxed)

a, b, c (Å): 8.230 8.230 8.230
α, β, γ(°): 90.0 90.0 90.0

Deformation Potential

n_type (eV): -13.603
p_type (eV): -8.679
Ag1F6P1
.
Property Value
Bulk-modulus 75.923 GPa






Ag1F6P1
  
Property Value
Band gap 5.05 eV
Band degeneracy(CBM) 1.00
Band degeneracy(VBM) 6.00
n-type Seebeck coefficient (700K)



p-type Seebeck coefficient (700K)
n-type conductivity (700K)



p-type conductivity (700K)
n-type power factor (700K)



p-type power factor (700K)






Eband_VBM 14.98989
Eband_CBM -6.11508
Property Value
Source mp-34418-Ag1F6P1